Annex 1: Methodologies
|
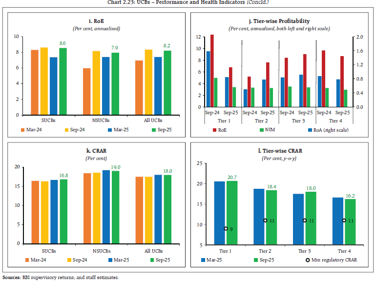
1.1 Scheduled Commercial Banks (a) Banking stability indicator (BSI) and map The banking stability map and indicator present an overall assessment of changes in underlying conditions and risk factors that have a bearing on the stability of the banking sector during a period. The six composite indices represent risk in six dimensions - soundness, asset quality, profitability, liquidity, efficiency and sensitivity to market risk. Each composite index is a relative measure of risk during the sample period used for its construction, where a higher value would mean higher risk in that dimension. The financial ratios used for constructing each composite index are given in Table 1. Each financial ratio is first normalised for the sample period using the following formula: where Xt is the value of the ratio at time t. If a variable is negatively related to risk, then normalisation is done using 1-Yt. Composite index of each dimension is then calculated as a simple average of the normalised ratios in that dimension. Finally, the banking stability indicator is constructed as a simple average of these six composite indices. Thus, each composite index and the overall banking stability indicator takes values between zero and one. (b) Macro stress test Macro stress test evaluates the resilience of banks against adverse macroeconomic shocks. It attempts to assess the impact of such shocks on the capital ratios of banks1 over a one-and-half to two-year horizon, under a baseline and two adverse scenarios. The test encompasses credit risk, market risk and interest rate risk in the banking book. The salient features are as below: I. Macro-scenario design: The test envisages three scenarios - a baseline and two hypothetical adverse macro scenarios. While the baseline scenario is derived from the forecasted path of select macroeconomic variables, the two adverse scenarios are derived based on hypothetical stringent stress scenario narratives and by performing simulations using the following Vector Autoregression with Exogenous Variables (VARX) model, with GDP growth, CPI inflation, repo rate and lending spread as the endogenous variables and US GDP growth and US-VIX as exogeneous variables. II. Projection of key financial variables: Slippage ratio, interest income and interest expense are projected at bank-level using panel regression models for each bank group. GNPA ratio and provision are projected using structural models. Non-interest income [comprising of (a) fee income and (b) other operating income excluding fee income] and non-interest expense are projected based on assumed growth rate of these variables under each scenario. (i) Projection of slippage ratio: The quarterly slippage ratios at bank level are projected using the following panel regression model; Zi,t is the quarterly slippage ratio of bank i during quarter t, Xt is a vector of macroeconomic variables including lending spread and GDP growth, μ'i represents bank-specific fixed effects, λ'it represents adjustments for specific quarters and ε'i,t is an i.i.d. error term. Subsequently, quarterly slippage ratios, Ẑi,t's are computed based on first differences of the regression equation (2) as, (ii) Projection of gross loans and advances: Bank level gross loans and advances are projected by applying growth rate equivalent to nominal GDP growth as, where Li,t represents the gross loans and advances of bank i at the end of quarter t, and gt represents the nominal GDP growth rate during quarter (t-1, t). (iii) Projection of non-performing loans (NPL) or GNPAs: Bank-level GNPAs are projected using the equation, where NPLi,t represents the stock of GNPA of bank i at the end of quarter t, WROi,t, CURERi,t and RECRi,t are write-off, upgradation and recovery rates of bank i during the quarter t respectively, PDi,t is the probability of default (slippage ratio) projected in (3) and PLi,t-1 is the stock of performing loans at the end of quarter t-1. (iv) Projection of performing loans (PL): The stock of performing loans for bank i at the end of quarter t, PLi,t is projected as, (v) Projection of provisions: Provisions of bank i for quarter t are projected as follows, where provisioning coverage ratio (PCR) is assumed at 75 per cent. The loss given default (LGD) during quarter t is derived based on the model of Frye and Jacobs (2012), as below and the parameter k is derived as, PD* and LGD* are long-term average PDs and LGDs and Φ represents the cumulative normal distribution function. (vi) Projection of interest income and expenses: Interest income (as share of interest-earning assets) and interest expenses (as share of interest-bearing liabilities) are modelled as functions of macroeconomic variables (GDP growth and call rate) and bank fixed effects with structure similar to equation (2). Bank-wise projections of these ratios are applied to derive shocks to yield on assets and cost of funds for each bank. (vii) Projection of market risk: Market risk is estimated by applying MTM revaluation of bond exposures (AFS and HFT portfolio) of banks using three inputs, (i) bond exposure, (ii) Macaulay duration, and (iii) interest rate shock, using the bond revaluation formula: where D is the Macaulay duration, r is the risk-free rate, s is credit spread component, t is the time steps until maturity T, V is the market value, Δrt+1 represents the risk-free rate shift and Δst+1 the credit spread shift. Further, equity and foreign exchange risk are also factored into market risk. (viii) Projection of net profit: Net profit is projected as, (ix) Projection of capital: Capital is projected as, (x) Projection of risk weighted assets (RWA): RWA for Credit risk is projected as, where gt represents the nominal GDP growth rate during the period (t, t+1). RWA for market risk and RWA for operational risk are also projected to grow at nominal GDP growth rate. III. Major assumptions: Provisions for income tax are assumed at 30 per cent, 30 per cent and 35 per cent of profit before tax for public sector banks (PSBs), private sector banks (PVBs) and foreign banks (FBs), respectively. Dividend payout ratio is assumed at 35 per cent of net profit. Balance sheet is projected to grow at the rate of nominal GDP growth. (c) Single factor sensitivity analysis – Stress testing As part of quarterly surveillance, stress tests are conducted covering credit risk, interest rate risk, liquidity risk, equity price risk. and the resilience of scheduled commercial banks (SCBs) in response to these shocks is studied. The analysis is done on individual SCBs as well as on the system level. I. Credit risk (includes concentration risk) To ascertain the resilience of banks, the credit portfolio was given a shock by increasing GNPA ratio for the entire portfolio. For testing the credit concentration risk, default of the top individual borrower(s) and the largest group borrower(s), in terms of credit outstanding, was assumed. The analysis was carried out both at the aggregate level as well as at the individual bank level. In case of credit risk, the assumed increase in GNPAs was distributed across sub-standard, doubtful and loss categories in the same proportion as prevailing in the existing stock of GNPAs at system level. However, for credit concentration risk (exposure based), the additional GNPAs under the assumed shocks were considered to fall into sub-standard category only and for credit concentration risk (stressed advances based), stressed advances were considered to fall into loss category. The provisioning requirements were taken as 25 per cent, 75 per cent and 100 per cent for sub-standard, doubtful and loss advances, respectively. These norms were applied on additional GNPAs calculated under a stress scenario. As a result of the assumed increase in GNPAs, loss of income on the additional GNPAs for one quarter was also included in total losses, in addition to the incremental provisioning requirements. The estimated provisioning requirements so derived were deducted from banks’ capital and the capital adequacy ratios under stress scenarios were computed. To assess the system-wide impact of concentration of borrowers, sequential default of the 100 largest individual borrowers is simulated, measuring the cumulative depletion in system-level CRAR at default of each borrower. To quantify the systemic risk due to borrower concentration, a novel metric viz. credit concentration risk index (CCRI) is constructed. Formally, CCRI is defined as the ratio of (i) the area between the empirical CRAR depletion curve and a straight line from the origin to its endpoint, to (ii) the total area above this straight line. A higher CCRI will indicate higher concentration among the large borrowers. For Small Finance Banks (SFBs), the credit risk sensitivity analysis is carried out using same methodology and similar scenarios as for SCBs. II. Sectoral credit risk To ascertain the sectoral credit risk of individual banks, the credit portfolios of a particular sector was given a shock by increasing GNPA ratio for the sector, based on standard deviation (SD) of GNPA ratios of the sector. The additional GNPAs under the assumed shocks were considered to fall into sub-standard category only. Calculation of the impact on capital is similar to that of stress test for credit risk described above. III. Interest rate risk Under assumed shocks of shift in the INR yield curve, there could be losses on account of the fall in value of the portfolio or decline in income. For interest rate risk in the investment portfolio: AFS, FVTPL (including HFT book) and HTM categories, a duration analysis approach was considered for computing the valuation impact (portfolio losses). The portfolio losses on these investments were calculated for each time bucket of AFS, FVTPL (including HFT book) and HTM categories based on the applied shocks. These estimated losses were reduced from banks’ capital and market risk weighted losses from RWA to arrive at capital ratios under stress scenarios. Interest rate risk of banks refers to the risk to a bank’s capital and earnings arising from adverse movements in interest rates that affect bank’s books. The impact on earnings is measured using the traditional gap analysis (TGA) and the capital impact is measured by duration gap analysis (DGA). The focus of TGA is to measure the level of a bank’s exposure to interest rate risk in terms of the sensitivity of its net interest income (NII) to interest rate movements over one-year horizon. It involves bucketing of all rate-sensitive assets (RSA), rate-sensitive liabilities (RSL), and off-balance sheet items as per residual maturity / re-pricing date, in various time bands and computing earnings-at-risk (EAR) i.e., loss of income under different interest rate scenarios over a time horizon of one year. Advances, investments, swaps / forex swaps and reverse repos are the major contributors to RSA whereas deposits, swaps / forex swaps and repos are the main elements under RSL. The DGA involves bucketing of all RSA and RSL as per residual maturity / re-pricing dates in various time bands and computing the modified duration gap (MDG) to estimate the impact on the market value of equity. MDG is calculated with the following formula: MDG = [MDA - MDL * (RSL / RSA)], where MDA and MDL are the weighted averages of the modified duration (MD) of items of RSA and RSL, respectively. Thereafter, change in market value of equity (MVE) is computed as ΔE/ E = -[MDG]*RSA* Δi/ E, where Δi is the change in interest rate and E is equity (i.e. net worth). IV. Equity price risk Under the equity price risk, the impact of the shock of a fall in the equity price index, by certain percentage points, on bank capital was examined. The loss due to the fall in the value of the portfolio on account of change in equity prices is deducted from the bank’s capital to arrive at the capital under stress scenarios. V. Liquidity risk Liquidity stress test assesses the ability of a bank to withstand unexpected liquidity drain without taking recourse to any outside liquidity support. The stress test is based on the Liquidity Coverage Ratio (LCR) framework. The baseline scenario for the stress test depicts the extant LCR computation guidelines and accordingly applies weights used for LCR computation, to each component of cash outflows, inflows and liquid assets. The adverse stress scenarios are designed by applying higher run-off rates relative to the baseline scenario to certain cash outflows (Table 2). LCR for each bank is computed under each of these scenarios. (d) Bottom-up stress testing: Derivatives portfolios of select banks Stress tests on derivatives portfolio (in terms of notional value) were carried out by a sample of 36 banks, constituting the major active authorised dealers and interest rate swap counterparties. Each bank in the sample was asked to assess the impact of stress conditions on their respective derivatives portfolio. In case of domestic banks, the derivatives portfolio of both domestic and overseas operations was included. In case of foreign banks, only the domestic (Indian) position was considered for the exercise. Derivatives trades where hedge effectiveness was established were exempted from the stress tests, while all other trades were included. The stress scenarios incorporated four shocks consisting of the spot USD-INR rate and domestic interest rates as parameters (Table 3). 1.2 Primary (Urban) Co-operative Banks Single factor sensitivity analysis – Stress testing Stress testing of UCBs was conducted with reference to the reported position as of September 2025. The banks were subjected to baseline, medium and severe stress scenarios in the areas of credit risk, market risk and liquidity risk as follows: I. Credit Default Risk
II. Credit Concentration Risk
III. Interest Rate Risk in Trading Book
IV. Interest Rate Risk in Banking Book
V. Liquidity risk
1.3 Non-Banking Financial Companies (NBFCs) (a) Non-banking stability indicator (NBSI) and map The non-banking financial company (NBFC) stability indicator (NBSI) presents an overall assessment of changes in underlying conditions and risk factors that have a bearing on the stability of the NBFC sector during a period. In line with the scale-based regulatory structure, NBFCs falling in the upper and middle layers (excluding the Core Investment Companies (CICs), Primary Dealers (PDs) and Housing Finance Companies (HFCs)) have been considered for construction of the indicator and a related stability map. The NBSI constitutes five composite indices representing risks in five dimensions – soundness, asset-quality, profitability, liquidity and efficiency. Each composite index is a relative measure of risk and is constructed using multiple financial ratios in respective risk dimension (Table 4). A higher value of a composite index would mean higher risk in that dimension. Each financial ratio is first normalized for the sample period using the following formula: where Xt is the value of the financial ratio at time t. If a variable is negatively related to risk, then it is normalized using 1-Yt. Composite index of each dimension is then calculated as a simple average of the normalized ratios in that dimension. Finally, the NBSI is constructed as a simple average of these five composite indices. Each composite index and the overall NBSI take values between zero and one. (b) Single factor sensitivity analysis - Stress testing Credit and liquidity risk stress tests for NBFCs have been performed under baseline, medium and high risk scenarios. I. Credit risk Major items of the balance sheet of NBFCs over one year horizon were projected by applying moving average and smoothing techniques. Assets, advances to total assets ratio, earnings before profit and tax (EBPT) to total assets ratio, risk-weight density and slippage ratio were projected over the next one year; and thereafter, based on these projections – new slippages, provisions, EBPT, risk-weighted assets and capital were calculated for the baseline scenario. For the medium and high-risk scenarios, GNPA ratios under baseline scenario were increased by 1 SD and 2 SD and accordingly revised capital and CRAR were calculated. II. Credit Concentration Risk For testing the credit concentration risk, default of the top individual borrower(s) and the largest group borrower(s), in terms of credit outstanding, was assumed. The analysis was carried out both at the aggregate level as well as at the individual NBFC level. The additional GNPAs under the assumed shocks were considered to fall into sub-standard category and the provisioning requirements were taken as 25 per cent. These norms were applied on additional GNPAs calculated under a stress scenario. In addition to the incremental provisioning requirements, loss of income on the additional GNPAs for one quarter was also included in total losses. The estimated losses so derived were deducted from banks’ capital and the capital adequacy ratios under stress scenarios were computed. III. Liquidity Risk Cash flows under stress scenario and mismatch in liquidity position were calculated by assigning assumed percentage of stress to the overall cash inflows and outflows in different time buckets over the next one year. Projected outflows and inflows, as on September 2025, over the next one year were considered for calculating the liquidity mismatch under the baseline scenario. Outflows and inflows of the sample NBFCs were applied a shock of 5 per cent and 10 per cent for time buckets over the next one year for the medium and high-risk scenarios, respectively. Cumulative liquidity mismatch due to such shocks were calculated as per cent of cumulative outflows and, NBFCs with negative cumulative mismatch were identified. 1.4 Stress Testing Methodology of Mutual Funds The SEBI has mandated all open-ended debt schemes (except overnight schemes) to conduct stress testing. Accordingly, Association of Mutual Funds in India (AMFI) prescribed the “Best Practice Guidelines on Stress Testing by Debt Schemes of Mutual Funds”. The stress testing is carried out internally by all Asset Management Companies (AMCs) on a monthly basis (except overnight schemes) and when the market conditions require so. A uniform methodology is being followed across the industry for stress testing with a common outcome, i.e., impact on NAV as a result of the stress testing. The Association of Mutual Funds in India (AMFI) and each AMC specify the thresholds of impact for the risk parameters: breach of either the AMFI or the AMC threshold requires reporting and remedial action. Stress testing parameters The stress testing is conducted on the three risk parameters, viz., interest rate risk, credit risk and liquidity risk. (a) Interest rate risk parameter For interest rate risk parameter, AMCs subject the schemes at portfolio level to the following scenarios of interest rate movements and assess the impact on NAV.
(b) Credit risk parameter For credit risk parameter, AMCs may subject the securities held by the scheme to the following:
(c) Liquidity risk parameter For liquidity risk parameter, the following analysis is being undertaken:
AMCs additionally consider extreme stress scenarios of time bound liquidation (viz 5 days, 3 days and 1 day) of full portfolios and its impact on NAV by applying suitable haircuts. Furthermore, as part of liquidity risk management for open-ended debt schemes, two types of liquidity ratios, viz., (i) redemption at risk (LR-RaR), which represents likely outflows at a given confidence interval, and (ii) conditional redemption at risk (LR-CRaR), which represents the behaviour of the tail at the given confidence interval, have been used. All AMCs are mandated to maintain these liquidity ratios above the threshold limits which are derived from scheme type, scheme asset composition and potential outflows (modelled from investor concentration in the scheme). Mutual Funds (MFs) are required to carry out back-testing of these liquidity ratios for all open-ended debt schemes (except overnight funds, gilt funds and gilt funds with 10-year constant duration) on a monthly basis. 1.5 Methodology for Stress Testing Analysis at Clearing Corporations The SEBI has specified the granular norms related to core settlement guarantee fund (SGF); stress testing and default procedures to create a core fund (called core SGF) within the SGF against which no exposure is given and which is readily and unconditionally available to meet settlement obligations of clearing corporation in case of clearing member(s) failing to honour settlement obligation; align stress testing practices of clearing corporations with Principles for Financial Market Infrastructures (norms for stress testing for credit risk, stress testing for liquidity risk and reverse stress testing including frequency and scenarios); capture the risk due to possible default in institutional trades in stress testing; harmonise default waterfalls across clearing corporations; limit the liability of non-defaulting members in view of the Basel capital adequacy requirements for exposure towards central counterparties (CCPs); ring-fence each segment of clearing corporation from defaults in other segments; and bring in uniformity in the stress testing and the risk management practices of different clearing corporations especially with regard to the default of members. Stress testing is carried out at clearing corporations (CCs) to determine the minimum required corpus (MRC), which needs to be contributed by clearing members (CMs) to the core SGF. The MRC is determined separately for each segment (viz. cash market, equity derivatives, currency derivatives, commodity derivatives, debt and tri-party repo segment) every month based on stress testing subject to the following:
For determining the MRC for cash, equity derivatives and currency derivatives segment, CCs calculate the credit exposure arising out of a presumed simultaneous default of top two CMs. The credit exposure for each CM is determined by assessing the close-out loss arising out of closing open positions (under stress testing scenarios) and the net pay-in/ pay-out requirement of the CM against the required margins and other mandatory deposits of the CM. The MRC or average stress test loss of the month is determined as the average of all daily worst case loss scenarios of the month. The actual MRC for any given month is determined as at least the higher of the average stress test loss of the month or the MRC arrived at any time in the past. For the debt segment, the trading volume is minimal, and hence the MRC for the core SGF is calculated as higher of ₹4 crore or aggregate losses of top two CMs, assuming close out of obligations at a loss of four per cent less required margins. The tri-party repo segment and commodity derivatives segment also follow the same stress testing guiding principles as prescribed for equity cash, equity derivatives and currency derivatives segments. For commodity derivatives segment, however, MRC is computed as the maximum of either credit exposure on account of the default of top two CMs or 50 per cent of credit exposure due to simultaneous default of all CMs. Further, the minimum threshold value of MRC for commodity derivatives segment of any stock exchange is ₹10 crore. CCs carry out daily stress testing for credit risk using at least the standardized stress testing methodology prescribed by SEBI for each segment. Apart from the stress scenarios prescribed for cash market and derivatives market segments, CCs also develop their own scenarios for a variety of ‘extreme but plausible market conditions’ (in terms of both defaulters’ positions and possible price changes in liquidation periods, including the risk that liquidating such positions could have an impact on the market) and carry out stress testing using self-developed scenarios. Such scenarios include relevant peak historic price volatilities, shifts in other market factors such as price determinants and yield curves, multiple defaults over various time horizons and a spectrum of forward-looking stress scenarios in a variety of extreme but plausible market conditions. Also, for products for which specific stress testing methodology has not been prescribed, CCs develop extreme but plausible market scenarios (both hypothetical and historical) and carry out stress tests based on such scenarios and enhance the corpus of SGF, as required by the results of such stress tests. 1.6 Interconnectedness – Network Analysis Matrix algebra is at the core of the network analysis, which uses the bilateral exposures between entities in the financial sector. Each institution’s lending to and borrowings from all other institutions in the system are plotted in a square matrix and are then mapped in a network graph. The network model uses various statistical measures to gauge the level of interconnectedness in the system. Some of the important measures are given below: ii) Cluster coefficient: Clustering in networks measures how interconnected each node is. Specifically, there should be an increased probability that two of a node’s neighbours (banks’ counterparties in case of a financial network) are neighbours to each other also. A high clustering coefficient for the network corresponds with high local interconnectedness prevailing in the system. For each bank with ki neighbours the total number of all possible directed links between them is given by ki(ki-1). Let Ei denote the actual number of links between bank i’s ki neighbours. The clustering coefficient Ci for bank i is given by the identity: The clustering coefficient (C) of the network as a whole is the average of all Ci’s: iii) Tiered network structures: Typically, financial networks tend to exhibit a tiered structure. A tiered structure is one where different institutions have different degrees or levels of connectivity with others in the network. In the present analysis, the most connected banks are in the innermost core. Banks are then placed in the mid-core, outer core and the periphery (the respective concentric circles around the centre in the diagram), based on their level of relative connectivity. The range of connectivity of the banks is defined as a ratio of each bank’s in-degree and out-degree divided by that of the most connected bank. Banks that are ranked in the top 10 percentile of this ratio constitute the inner core. This is followed by a mid-core of banks ranked between 90 and 70 percentile and a 3rd tier of banks ranked between the 70 and 40 percentile. Banks with a connectivity ratio of less than 40 per cent are categorised in the periphery. iv) Colour code of the network chart: The blue balls and the red balls represent net lender and net borrower banks respectively in the network chart. The colour coding of the links in the tiered network diagram represents the borrowing from different tiers in the network (for example, the green links represent borrowings from the banks in the inner core). (a) Solvency contagion analysis The contagion analysis is in the nature of a stress test where the gross loss to the banking system owing to a domino effect of one or more banks failing is ascertained. We follow the round by round or sequential algorithm for simulating contagion that is now well known from Furfine (2003). Starting with a trigger bank i that fails at time 0, we denote the set of banks that go into distress at each round or iteration by Dq, q = 1,2, …For this analysis, a bank is considered to be in distress when its Tier I capital ratio goes below 7 per cent. The net receivables have been considered as loss for the receiving bank. (b) Liquidity contagion analysis While the solvency contagion analysis assesses potential loss to the system owing to failure of a net borrower, liquidity contagion estimates potential loss to the system due to the failure of a net lender. The analysis is conducted on gross exposures between banks comprising both fund based exposures and derivatives. The basic assumption for the analysis is that a bank will initially dip into its liquidity reserves or buffers to tide over a liquidity stress caused by the failure of a large net lender. The items considered under liquidity reserves are: (a) excess CRR balance; (b) excess SLR balance; and (c) 18 per cent of NDTL. If a bank is able to meet the stress with liquidity buffers alone, then there is no further contagion. However, if the liquidity buffers alone are not sufficient, then a bank will call in all loans that are ‘callable’, resulting in a contagion. For the analysis only short-term assets like money lent in the call market and other very short-term loans are taken as callable. Following this, a bank may survive or may be liquidated. In this case there might be instances where a bank may survive by calling in loans, but in turn might propagate a further contagion causing other banks to come under duress. The second assumption used is that when a bank is liquidated, the funds lent by the bank are called in on a gross basis (referred to as primary liquidation), whereas when a bank calls in a short-term loan without being liquidated, the loan is called in on a net basis (on the assumption that the counterparty is likely to first reduce its short-term lending against the same counterparty. This is referred to as secondary liquidation). (c) Joint solvency-liquidity contagion analysis A bank typically has both positive net lending positions against some banks while against some other banks it might have a negative net lending position. In the event of failure of such a bank, both solvency and liquidity contagion will happen concurrently. This mechanism is explained by the following flowchart: The trigger bank is assumed to have failed for some endogenous reason, i.e., it becomes insolvent and thus impacts all its creditor banks. At the same time it starts to liquidate its assets to meet as much of its obligations as possible. This process of liquidation generates a liquidity contagion as the trigger bank starts to call back its loans. Since equity and long-term loans may not crystallise in the form of liquidity outflows for the counterparties of failed entities, they are not considered as callable in case of primary liquidation. Also, as the RBI guideline dated March 30, 2021 permits the bilateral netting of the MTM values in case of derivatives at counterparty level, exposures pertaining to derivative markets are considered to be callable on net basis in case of primary liquidation. The lender / creditor banks that are well capitalised will survive the shock and will generate no further contagion. On the other hand, those lender banks whose capital falls below the threshold will trigger a fresh contagion. Similarly, the borrowers whose liquidity buffers are sufficient will be able to tide over the stress without causing further contagion. But some banks may be able to address the liquidity stress only by calling in short term assets. This process of calling in short term assets will again propagate a contagion. The contagion from both the solvency and liquidity side will stop / stabilise when the loss / shocks are fully absorbed by the system with no further failures. (d) Identification of impactful and vulnerable banks Data on bilateral exposures among entities of the financial system are leveraged to compute impact and vulnerability metrics to identify entities that are impactful (causing sizeable capital loss to others in the system upon their default) as well as vulnerable (their own capital loss susceptibility conditional on other entities’ failures), using the following metrics and methodology (IMF, 2017): (i) Index of contagion (impact) of a bank represents the average loss experienced by other banks (expressed as a percentage of their Tier 1 capital) due to failure of that bank. It is calculated, for bank i, as where Kj is bank j’s capital, Lji is the loss to bank j due to the default of bank i and N is the total number of banks; (ii) Index of vulnerability of a bank represents the average loss experienced by the bank (expressed as a percentage of its Tier 1 capital) across individually triggered failures of all other banks. It is calculated, for bank i, as where Ki is bank i’s capital, Lij is the loss to bank i due to the default of bank j and N is the total number of banks; (iii) To analyse the effects of a credit shock, the exercise simulates default of each bank with 100 per cent loss-given-default, where the counterparties’ capitals absorb the losses. A bank is said to fail if its Tier 1 capital ratio falls below 7 per cent. In the subsequent rounds, if there are further failures, the losses are aggregated. The results of indexes calculated can be analysed to identify entities that are common between the set of top highly impactful banks and the set of top highly vulnerable banks. 1.7 Financial System Stress Indicator (FSSI) FSSI is compiled using risk factors spread across five financial market segments (equity, forex, money, government debt and corporate debt), three financial intermediary segments (banks, NBFCs and AMC-MFs) and the real sector (Table 5). FSSI lies between zero and unity, with higher value indicating more stress. For its construction, the risk factors pertaining to each component segment are first normalised using min-max method and thereafter aggregated based on simple average into a sub-indicator ‘yi‘ representing the ith market / sector. Finally, the composite FSSI is obtained as, where the weight ‘wi’ of each sub-indicator ‘yi’ is determined from its sample standard deviation ‘si’, as, 1 The macro stress test is carried out for select 46 scheduled commercial banks (SCBs). |
||||||||||||||||||||||||||||||
Chapter III: Regulatory Initiatives in the Financial Sector
|
The global financial system faces mounting challenges from trade tensions, cyber threats, and climate-related risks. In response, global regulators are working to build systemic resilience through strengthened Basel standards, improved liquidity management, enhanced cybersecurity, and comprehensive climate risk frameworks. Domestically, regulators are aligned with these efforts, focusing on digital fraud prevention, secure digital lending, and mutual fund reforms. The Financial Stability and Development Council (FSDC) and its Sub-Committee continues to play a vital role in building a resilient and secure financial system. Introduction 3.1 In response to growing economic uncertainty and structural shifts in the global financial landscape, regulators remain committed to enhance the resilience of the global financial system. Policymakers and global standard-setting bodies are advancing measures to strengthen the system’s resilience to complex securitisation structures, rapid technological changes, rising cyber threats and escalating climate-related risks. Since the December 2024 issue of Financial Stability Report, several regulatory initiatives have been undertaken in key areas including cyber security, cross-border payments, and climate-related risks. 3.2 Against this backdrop, this chapter reviews the recent major regulatory initiatives, both global and domestic, aimed at enhancing the stability and resilience of the financial system. III.1 Global Regulatory Developments III.1.1 Banking 3.3 The Basel Committee on Banking Supervision (BCBS) regularly reviews the impact of the Basel III standards on banks and publishes the results reflecting different degrees of implementation of these standards such as risk-based capital ratio, leverage ratio framework and disclosure requirements, liquidity metrics such as LCR and NSFR. The latest Basel III monitoring exercise covered both large international active banks (Group 1) and other smaller banks (Group 2). The results1 highlighted that for Group 1 banks, NSFR remained stable while the LCR decreased slightly. Group 2 banks2 showed an increase in both LCR and NSFR. 3.4 The BCBS also revised its principles for management of credit risk3 (‘Credit Risk Principles’) issued in 2000, to align them with the current Basel Framework and the latest guidelines issued by the Committee. The updated principles provide guidelines for banking supervisors to evaluate banks’ credit risk management processes in four key areas: (i) establishing a suitable credit risk environment; (ii) operating under a sound credit-granting process; (iii) maintaining an appropriate credit administration, measurement, and monitoring process; and (iv) ensuring adequate controls over credit risk. III.1.2 Financial Markets 3.5 The complex structuring and multi-layered distribution chains in certain securitisation structures create misaligned incentives between originator of securitised products and their investors while encouraging rapid and largely undetected build-up of leverage and maturity mismatches. To address such vulnerabilities, a recent evaluation report4 by the Financial Stability Board (FSB) assesses the extent to which G20 reforms on securitisation have achieved their financial stability objectives. The report reviews the implementation status of the International Organisation of Securities Commission (IOSCO) policy recommendations5 across FSB jurisdictions and revised prudential standards for bank exposures to securitisation in the residential mortgage-backed securities (RMBS) and collateralised loan obligation (CLO) markets. The report observes that though the reforms have improved the overall resilience of securitisation markets while increasing market transparency, it is difficult to definitively assess their resilience as these markets have not yet been tested through a full credit cycle. This is particularly relevant for CLOs, which have expanded rapidly but have not yet faced a prolonged downturn. The report has identified a few issues for consideration of national and international authorities, including: (a) monitoring risks in securitisation markets given the developments in synthetic risk transfers and private credit activity in securitisation structures; (b) risk retention requirements in CLO market, given that a large portion of global CLO issuance remains outside the scope of these requirements and often involves third-party risk financing; and (c) divergences in reform implementation across jurisdictions and the implications for regulatory consistency and effectiveness. 3.6 The IOSCO has assessed6 the implementation by market authorities7 of its earlier recommendations to develop regulatory tools for addressing challenges arising due to technological adoption, particularly with respect to improving surveillance capabilities on a cross-market and cross-asset basis. Key recommendations of the latest report include regular review and updation of surveillance capabilities by market authorities in the context of their own markets and trading environment and collective efforts by market authorities on strengthening their cross-border surveillance capabilities. 3.7 The IOSCO published its final report on IOSCO Standards Implementation Monitoring (ISIM) for Principles (6-7) relating to the regulator in April 20258. The IOSCO Assessment Committee, established in 2012, developed the ISIM review as a tool to monitor the implementation of the IOSCO Principles and Standards by member jurisdictions. The three IOSCO core objectives of securities regulation are protection of investors, ensuring that markets are fair, efficient, and transparent, and reduction of systemic risk. The ISIM review covered two IOSCO Principles (Principles 6 and 7) relating to the regulator: a. Principle 6: The regulator should have or contribute to a process to identify, monitor, mitigate and manage systemic risk, appropriate to its mandate. Principle 6 recognises that promoting financial stability is a shared responsibility amongst the financial sector regulatory community and the tools available to reduce systemic risk generally consist of strong investor protection standards and enforcement measures, disclosure and transparency requirements, business conduct regulation and resolution regimes, etc. The Principle explicitly recognises that securities regulators may not have the appropriate tools to address certain forms of systemic risk and, therefore, it is important that they cooperate with other regulators. Overall compliance with Principle 6 was generally high among the participating jurisdictions. In case of India, the report states, “India SEBI has a comprehensive| process for identification, monitoring of various risk indicators, and contribution to financial stability encompassing multiple groups/ forums under the umbrella of the Financial Stability Development Council9 (FSDC) to analyse the various sources of risks, such as an Early Warning Group for detection of early warning signals, Forum for supervision of Financial Conglomerates, Technical Group for discussion of risks to systemic financial stability and inter-regulatory coordination, etc. India IFSCA is also a member of the FSDC and participates in the various groups such as FSDC Sub-Committee and Inter Regulatory Technical Group.” b. Principle 7: The regulator should have or contribute to a process to review the perimeter of regulation regularly. Principle 7 seeks to ascertain whether securities regulator performs a regular review of the perimeter of regulation, thereby promoting a regulatory framework that supports investor protection, fair, efficient and transparent markets, and the reduction of systemic risk. Overall, a high level of implementation by participating jurisdictions has been observed for Principle 7. India is among the participating jurisdictions that have affirmative answers to all the key questions relating to Principle 7, as summed up in the Report: “The regulatory review process in India is structured within the group of regulators around the working of its FSDC. Both India SEBI and India IFSCA are members of the FSDC. India SEBI, upon identification of any potential risks, also constitutes an expert committee/ working group. It also coordinates within formal frameworks of State Level Coordination Committees and Regional Economic Intelligence Committee with other financial/ non-financial authorities for information sharing.” 3.8 As part of the comprehensive efforts jointly taken by the BCBS, IOSCO and the FSB to improve transparency in derivatives, increasing the predictability of margin requirements and improving the liquidity preparedness of non-bank market participants for margin calls, policy prescriptions10 were issued on the initial margin in centrally cleared markets. The recommendations on initial margin, inter alia, include (a) availability of margin simulation tools to all clearing members; (b) disclosure of anti pro-cyclicality tools; and (c) identification of an internal analytical and governance framework appropriate to their business lines and risk profile, etc. 3.9 A joint report11 was also published on margins in non-centrally cleared markets. The report suggested industry practices to improve effectiveness of variation margin, especially during stress periods. These include resolving margin and collateral exchange issues, allowing flexibility in accepting non-cash collateral, adopting standardised and automated margin processes, and evaluating third-party services. To enhance initial margin responsiveness, the report suggests improvements in ISDA Standard Initial Margin Model (SIMM) including regular back testing, operational readiness for shortfalls and preparation for recalibrations. Besides, firms should also ensure sufficient liquidity to meet unexpected margin changes. III.1.3 Cyber Resilience 3.10 Cyberattacks and technology failures have become a significant threat to financial stability, especially in a world marked by rising digitalisation, evolving technologies and interconnectedness. Supervisory authorities need timely incident reporting to monitor such disruptions and coordinate effective responses and recovery efforts. Recognising the challenges posed by fragmented reporting frameworks across jurisdictions, the FSB has finalised a common framework12 to promote common information elements for incident reporting while allowing for flexible implementation practices. The Format for Incident Reporting Exchange (FIRE) encompasses a broad spectrum of operational incidents, including cyber incidents, and is designed to be applicable to third-party service providers and entities outside the financial sector. To support global implementation, the FSB has also issued a taxonomy package that uses the Data Point Model approach. Data Point Model is a data-centric method for organising objects hierarchically and can model various reporting scenarios derived from the underlying legal requirements in a business-friendly and non-technical manner. III.1.4 Climate Finance 3.11 Climate-related shocks have the potential to disrupt business operations through the materialisation of physical hazards, such as floods, droughts or windstorms (physical risks) and/ or due to changes in regulatory policies, technological innovation and/ or consumer preferences (transition risks). Climate shocks can interact with existing vulnerabilities in the financial system and threaten financial stability through various transmission channels and amplification mechanisms. In order to trace how physical and transition climate risks can be transmitted to the global financial system, the FSB has introduced an analytical framework13 for assessing climate-related vulnerabilities. The analytical toolkit sets out three high-level categories of metrics: a) proxies; b) exposure metrics; and c) risk metrics. Monitoring these metrics can provide early signals on potential drivers of transition and physical risks that can impact the financial system and quantify the scale of financial impacts. The report also compiles a set of forward-looking metrics currently used by the FSB jurisdictions to monitor climate-related vulnerabilities. Notable risk metrics for quantifying physical and transitions risks include carbon earnings at risk14 (used by the IMF and the Hong Kong Monetary Authority), climate beta15 and CRISK16 (used by the ECB). 3.12 The FSB also released a report17 on the transition plans, examining how firms’ climate transition strategies and their associated transition plans can support financial stability. Transition plans offer forward-looking insights into how financial and non-financial firms intend to align their operations with their climate goals. These plans can serve multiple functions: they inform firms’ strategic responses to climate risks, help investors make better-informed decisions by closing information gaps, and provide authorities with valuable data to monitor systemic risk and assess the alignment of financial flows with broader climate objectives. The FSB notes that the use of transition plans for financial stability assessment and macro-prudential analysis remains in its early stages and is currently limited to a small set of firms and shows wide variation in scope, methodology, and quality of key metrics. Enhanced comparability and consistency, supported by international standard-setting bodies, could significantly improve the usability of these plans for supervisory purposes, thereby reinforcing the financial system’s ability to manage climate-related risks over the long term. 3.13 The International Association of Insurance Supervisors (IAIS), an international standard-setting body, published an application paper18 highlighting the significance of climate risks for the insurance sector given their impact on the insurability of the assets under consideration as well as insurers’ own operations and investments. Also, on the other hand, opportunities exist for the insurance sector as it plays a critical role in the management of climate-related risks in its capacity as an assessor, manager and carrier of risk, and as an investor. The paper makes several recommendations in areas such as corporate governance, internal controls, scenario analysis, market conduct and public disclosures. 3.14 In January 2025, the International Auditing and Assurance Standards Board issued a new global sustainability assurance standard, the ‘International Standard on Sustainability Assurance (ISSA 5000)’, designed to strengthen the global sustainability disclosure ecosystem. The standard is designed to be used along with the International Ethics Standards for Sustainability Assurance (IESSA) issued by the International Ethics Standards Board for Accountants. ISSA 5000 contains principle-based requirements that support limited or reasonable assurance engagements of sustainability information reported by entities. The standards are profession agnostic and framework neutral, i.e., they can be applied in relation to sustainability information prepared under any suitable sustainability reporting framework. III.2 Initiatives from Domestic Regulators/ Authorities 3.15 During the period under review, financial regulators undertook several initiatives to improve the resilience of the Indian financial system (major measures are listed in Annex 3). III.2.1 Use of Indian Rupee for Cross Border Settlements 3.16 The Reserve Bank has progressively implemented a suite of measures to increase the use of Indian Rupee (INR) in cross-border settlements. In July 2022, in order to give a fillip to trade in INR, the Reserve Bank introduced the Special Rupee Vostro Account (SRVA) framework, an additional arrangement for effecting payment and settlement of exports/ imports in INR, by enabling foreign banks to open and maintain SRVAs with Indian banks, and with the additional provision of utilizing the INR balances therein for permissible capital and current account transactions. Use of INR for cross-border settlements was further bolstered by (i) notification of the Foreign Exchange Management (Manner of Receipt and Payment) Regulations in December 2023, which enables settlement of cross border transactions (other than those involving Nepal/ Bhutan and the ACU Mechanism) in any foreign currency (including local currencies of trading partner countries) alongside INR; and (ii) Memoranda of Understanding (MOU) with the central banks of the United Arab Emirates, Indonesia, Maldives and Mauritius to promote local currency settlement. 3.17 In continuation of the above initiatives, the Reserve Bank, in consultation with the Government of India, has further liberalised the FEMA framework as follows: (i) overseas branches of Authorised Dealer banks may open INR accounts for non-residents to conduct all permissible current and capital account transactions with Indian residents and for any transaction with a non-resident; and (ii) non-resident entities may utilise balances in their repatriable INR accounts (including SRVAs) to settle bona fide transactions with other non-residents and to invest in non-debt instruments, including foreign direct investment; and (iii) Indian exporters are now permitted to maintain foreign currency accounts abroad for receipt of export proceeds and use them for payment of imports. III.2.2 Prevention of Financial and Digital Payments Fraud 3.18 The rapid growth of digital transactions, though instrumental in enhancing convenience and efficiency, has been accompanied by a significant rise in financial frauds. The Reserve Bank, in conjunction with other regulatory agencies, has taken two major measures to combat financial and payments related frauds: (i) introduction of ‘.bank.in’ exclusive internet domain for Indian banks which helps customers identify legitimate bank websites and reduces the risk of phishing and other cyberattacks; (ii) steps to mitigate the misuse of mobile numbers of customers by fraudsters by directing the regulated entities to undertake transaction/ service calls and promotional voice calls only using ‘1600xx’ numbering series and ‘140xx’ numbering series, respectively. Additionally, SEBI has also advised its regulated/ registered entities to use only the ‘1600’ phone number series exclusively for service and transactional voice calls to their existing customers. 3.19 In further efforts to combat financial fraud using voice calls and SMS, RBI, as requested by Telecom Regulatory and Authority of India (TRAI), vide Circular ‘Prevention of financial frauds perpetrated through voice calls and SMS – Regulatory prescriptions and Institutional Safeguards’, advised the Regulated Entities to (a) make use of Mobile Number Revocation List19 (MNRL) published by Department of Telecommunication (DoT) to monitor and clean their customer databases and develop standard operating procedures for enhanced monitoring of accounts linked to revoked mobile numbers for preventing the linked accounts from being operated as Money Mules and/ or being involved in cyber frauds etc.; (b) provide their customer care number details to DoT for publishing in Digital Intelligence Platform (DIP) of DoT; (c) make marketing and transaction alert calls only from specific number series (as mentioned above) allotted to them by Telecom Service Providers (TSPs); and (d) undertake necessary awareness initiatives. III.2.3 Reserve Bank of India (Project Finance) Directions, 2025 3.20 To provide a harmonised framework for financing of projects in infrastructure and noninfrastructure (including commercial real estate & commercial real estate - residential housing) sectors by regulated entities (REs), the project finance directions were issued. The Directions lay down prudential framework for financing of projects, including treatment of RE exposures upon change in the date of commencement of commercial operations of such projects. III.2.4 Amendments to Liquidity Coverage Ratio (LCR) Framework 3.21 The banking turmoil20 in March 2023 highlighted, inter alia, the role of social media and digitalisation of financing in hastening the speed and impact of liquidity stress. Advances in digitalisation of finance have reduced friction, resulting in the actual scale and speed of the deposit outflows far exceeding the run-off rate assumptions under LCR framework. To address this concomitant increase in liquidity risk due to usage of technology, the Reserve Bank has undertaken calibrated amendments to the LCR framework by introducing additional run-off rate21 factors for internet and mobile banking enabled retail deposits (recognising their higher propensity for withdrawal). Haircuts on market value of Level 1 High-Quality Liquid Assets (HQLA) have also been calibrated to capture their liquidity generating capacity during periods of stress. These amendments are intended to improve the liquidity risk resilience of banks in India. III.2.5 Reserve Bank of India (Digital Lending Directions), 2025 3.22 As part of innovation in financial system, products, and credit-delivery methods, digital lending has emerged as a prominent way to design, deliver and service credit. However, unchecked third-party involvement, mis-selling, data-privacy breaches, unfair practices, exorbitant interest rates, and unethical recovery methods threaten public confidence in the digital-lending ecosystem. In this context, the Reserve Bank has issued Reserve Bank of India (Digital Lending) Directions, 2025 consolidating the previous instructions on Digital Lending and introduced two new measures for arrangements involving Lending Service Providers (LSPs) partnering with multiple regulated entities and for creation of a directory of digital lending apps (DLAs). The first measure aims to promote transparency and fairness in digital lending by enabling borrowers to compare loan offers objectively. It also aims to prevent biased or deceptive presentation of loan options by LSPs. The second measure aims to aid the borrowers in verifying the claim of a DLA’s association with a RE. III.2.6 Reserve Bank of India (Forward Contracts in Government Securities) Directions, 2025 3.23 Over the past few years, the Reserve Bank has been expanding the suite of interest rate derivative products available to market participants to manage their interest rate risks. In addition to Interest Rate Swaps, products such as Interest Rate Options, Interest Rate Futures, Interest Rate Swaptions, Forward Rate Agreements, etc. are available to market participants. To further develop the market for interest rate derivatives, forward contracts in government securities have now been permitted. Such forward contracts will enable long-term investors such as insurance funds to manage their interest rate risk across interest rate cycles. They will also enable efficient pricing of derivatives that use bonds as underlying instruments. III.2.7 Introduction of Mutual Funds Lite (MF Lite) Framework 3.24 A light-touch regulation regime for passively managed mutual fund schemes, ‘MF Lite Framework’ was introduced by SEBI with an intent to promote ease of entry, encourage new players, reduce compliance requirements, increase penetration, facilitate investment diversification, increase market liquidity and foster innovation. The framework is applicable to passive funds (with specific asset under management requirements) with underlying as domestic equity and debt indices and select commodity-based exchange traded funds (ETFs) such as gold and silver as well as fund of funds (FoFs) based on such ETFs. III.2.8 Introduction of Specialised Investment Funds 3.25 SEBI introduced a comprehensive regulatory framework for Specialised Investment Funds (SIF) aimed at bridging the gap between mutual funds and portfolio management services. SIFs are required to operate under a distinct brand name, logo and website, clearly differentiated from the mutual fund business. SIFs may offer investment strategies across equity, debt and hybrid categories. Comprehensive disclosure requirements include alternate month portfolio disclosures and scenario analysis for derivatives and risk depiction. This regulatory initiative is a significant step towards diversifying India’s pooled investment landscape. The introduction of SIFs is expected to encourage innovation in investment strategies while ensuring appropriate safeguards for investor protection and market integrity. III.2.9 Safer Participation of Retail Investors in Algorithmic Trading 3.26 SEBI issued a regulatory framework to facilitate safer participation of retail investors in algorithmic trading through brokers, which has outlined the rights and responsibilities of the main stakeholders of the trading ecosystem, viz., investors, stockbrokers, model providers/ vendors and market infrastructure institutions so as to enable use of algorithmic models by retail investors with appropriate safeguards. The said measure aims to enhance investor protection and promote market integrity. III.2.10 Identifying Unclaimed Assets 3.27 SEBI has put in place a framework in collaboration with National e-Governance Division (NeGD), Ministry of Electronics and Information Technology (MeitY) for ‘Harnessing DigiLocker as a Digital Public Infrastructure for reducing unclaimed assets in the Indian Securities Market’. Investors/ users can now download their mutual fund and demat holding statements as well as consolidated account statements through DigiLocker, the digital document wallet of the Government of India. By facilitating seamless access to financial records, this mechanism is expected to ensure the identification and reduction of unclaimed assets. By building on the centralised mechanism for reporting the demise of an investor through KYC Registration Agencies and the reforms to the nomination facilities in the Indian securities market, the current framework has been assisting the families and survivors of investors/ consumers after their demise. The SEBI has also developed a platform named ‘Mutual Fund Investment Tracing and Retrieval Assistant (MITRA)’ to provide investors with a searchable database of inactive and unclaimed mutual fund investor folios at an industry level, empowering the investors to identify the overlooked investments or any investments made by any other person for which he/ she may be the rightful legal claimant. The platform is aimed at reduction in the unclaimed mutual fund investor folios and incorporating mitigants against fraud risk. III.2.11 System Audit of Stock Brokers (SBs) through Technology-based Measures 3.28 The framework aims to strengthen and enhance the quality of system audit of stock brokers through online monitoring. Stock exchanges are required to develop a web portal to supervise system audit of stock brokers, wherein brokers and auditors will be mandated to provide details, such as date of appointment of auditor, audit official conducting the inspection, etc. during various stages of audit. The web portal shall capture geo-location of the auditor to ensure that the auditor visits the premises of the stock brokers physically for audit. Additionally, stock exchanges are also empowered to conduct surprise visits to verify the audit being actually carried out by the authorised auditor or authorised person of the audit firm. III.2.12 Access to Negotiated Dealing System – Order Matching (NDS-OM) 3.29 In order to further the objective of the Government of India to facilitate retail participation in purchase and trading of government securities, the SEBI has facilitated registered stock broker to access G-Secs market through NDS-OM under a Separate Business Unit (SBU). The securities market related activities of stock brokers would be segregated and ring-fenced from NDS-OM related activities of the SBU by way of maintenance of separate accounts and net worth. The framework ensures ease of doing investment for retail investors while ensuring ease of doing business for brokers. III.2.13 Intraday Monitoring of Position Limits for Index Derivatives 3.30 Position limits for various participants/ product types are specified by SEBI and these positions are monitored by the market infrastructure institutions (MIIs) at the end of day. In this situation, there is a possibility of undetected intraday positions (particularly on the day of expiry) beyond permissible limits, as end of day open positions will be negligible. Therefore, it was decided that in addition to the end of day monitoring mechanism, the position limits for equity index derivatives contracts will be monitored on an intraday basis from April 2025 onwards. The number of snapshots may be decided by the respective stock exchanges, subject to a minimum of four snapshots in a day. The snapshots will be randomly taken during pre-defined time windows. However, there shall be no penalty for breach of existing position limits intraday and such intraday breaches are not considered as violations. III.2.14 Operational Resilience of Financial Market Intermediaries 3.31 To streamline the reporting process of technical glitches across MIIs and facilitate the creation of a centralised repository of technical glitches, SEBI has developed a web-based portal, i.e., Integrated SEBI Portal for Technical Glitches (ISPOT), for submission of preliminary and final root cause analysis reports of technical glitches by the MIIs. This would help to improve the data quality, traceability of historical submissions related to technical glitches at the end of SEBI and MIIs, and preparation of system generated reports for monitoring of various compliance requirements in a more focused manner. SEBI has also stipulated a framework for business continuity for interoperable segments of stock exchanges. The said framework, inter alia, covers availability of identical or correlated trading products on another trading venue, creation of reserve contracts for scrips and single stock derivatives not traded on one stock exchange for invocation at the time of outage on the other stock exchange. III.2.15 Changes to Disclosure Requirements 3.32 SEBI introduced the ‘Additional Disclosures Framework’ for Offshore Derivative Instruments (ODIs) and FPIs with segregated portfolios, to address concerns of regulatory arbitrage. The concentration criteria and size criteria of the framework shall now be applicable directly to ODI subscribers. For FPIs with segregated portfolios, the concentration criteria shall be applied to each segregated portfolio independently. Further, issuance of ODIs (other than those with government securities as underlying) by FPIs shall be permitted only through a separate dedicated FPI registration, with no proprietary investments under such registration. ODI issuing FPIs shall neither issue ODIs with derivatives as reference/ underlying nor hedge their ODIs with derivative positions on stock exchanges. SEBI also enhanced the disclosure requirements for mutual fund schemes, mandating equity oriented mutual fund schemes to disclose Risk Adjusted Return (RAR) which shall be calculated as a ratio of portfolio rate of return less benchmark rate of return (i.e., excess return) to the standard deviation of this excess return. The move is aimed at making a holistic assessment of the portfolio manager’s level of skill and ability to generate excess returns. III.3 Other Developments III.3.1 Customer Protection 3.33 The number of complaints received by the Offices of the Reserve Bank of India Ombudsman (ORBIOs) for the previous two quarters indicates that majority of the complaints pertained to loans/ advances and credit cards constituting approximately 30 per cent and 18 per cent, respectively, of the complaints during Q3 and Q4 of 2024-25 (Table 3.1). 3.34 Complaints under the category ‘Loans and Advances’ and ‘Credit card’ emanated mainly due to, inter alia, revision in EMI without proper communication, excessive charges for delayed payments, inappropriate recovery practices, wrong/ delayed reporting of credit information and unsolicited credit cards. 3.35 With respect to the Indian securities market, the number of complaints received during Jan-Mar 2025 declined by 14.2 per cent over the previous quarter. Complaints related to stock brokers and listed companies accounted for 54.6 per cent of the total number of complaints received during the quarter (Table 3.2). 3.36 Under the SEBI Circular on Online Resolution of Disputes in the Indian securities market, MIIs are required to establish and operate a common Online Dispute Resolution Portal to harness online conciliation and online arbitration for resolution of disputes arising in the Indian securities market, the status of which is given in Table 3.3. III.3.2 Enforcement 3.37 During December 2024 – May 2025, the Reserve Bank undertook enforcement action against 177 REs (10 PSBs; 12 PVBs; three SFBs; one PB, three foreign banks, three RRBs; 118 co-operative banks; 22 NBFCs, one ARC, three HFCs and one CIC) and imposed an aggregate penalty of ₹29.15 crore for non-compliance with/ contravention of statutory provisions and/ or directions issued by the Reserve Bank. 3.38 During November 2024 - April 2025, prohibitive directions under Section 11 of the SEBI Act, 1992 were issued against 296 entities, while cancellation, suspension and warnings under SEBI (Intermediaries) Regulations, 2008 were taken against 23, six and one intermediaries, respectively. A total of 19 prosecution cases were filed during November 2024 - April 2025. Penalties under adjudication proceedings were imposed against 277 entities amounting to ₹38.5 crore during November 2024 to April 2025. III.3.3 Deposit Insurance 3.39 The Deposit Insurance and Credit Guarantee Corporation (DICGC) extends insurance cover to depositors of all the banks operating in India. As on March 31, 2025, the number of banks registered with the DICGC was 1,982, comprising 139 commercial banks (including 11 small finance banks, six payment banks, 43 regional rural banks, two local area banks) and 1,843 co-operative banks. 3.40 With the present deposit insurance limit of ₹5 lakh, 97.6 per cent of the total number of deposit accounts (293.7 crore) were fully insured and 41.5 per cent of the total value of all assessable deposits (₹241 lakh crore) were insured as on March 31, 2025 (Table 3.4). 3.41 The insured deposits ratio (i.e., the ratio of insured deposits to assessable deposits) was higher for co-operative banks (61.9 per cent) followed by commercial banks (40.4 per cent) (Table 3.5). Within commercial banks, PSBs had higher insured deposit ratio vis-à-vis PVBs. 3.42 Deposit insurance premium received by the DICGC grew by 12.1 per cent (y-o-y) to ₹26,764 crore during 2024-25 (Table 3.6), of which, commercial banks had a share of 94.7 per cent. 3.43 The Deposit Insurance Fund (DIF) with the DICGC is primarily built out of the premium paid by insured banks, investment income and recoveries from settled claims, net of income tax. DIF recorded a 15.2 per cent y-o-y increase to reach ₹2.29 lakh crore as on March 31, 2025. The reserve ratio (i.e., ratio of DIF to insured deposits) increased to 2.29 per cent from 2.11 per cent a year ago (Table 3.7). III.3.4 Corporate Insolvency Resolution Process (CIRP) 3.44 Since the provisions relating to the corporate insolvency resolution process (CIRP) came into force in December 2016, a total of 8,308 CIRPs have been initiated till March 31, 2025 (Table 3.8), out of which 6,382 (76.8 per cent of total) have been closed. Out of the closed CIRPs, around 20 per cent have been closed on appeal or review or settled, 18 per cent have been withdrawn, around 43.2 per cent have ended in orders for liquidation and 18.7 per cent have ended in approval of resolution plans (RPs). A total of 1,926 CIRPs (23.2 per cent of total) are ongoing. The sectoral distribution of corporate debtors under CIRP is presented in Table 3.9. 3.45 The outcome of CIRPs as on March 31, 2025 shows that out of the operational creditor initiated CIRPs that were closed, 63.6 per cent were closed on appeal, review or withdrawal (Table 3.10). 3.46 The primary objective of the Insolvency and Bankruptcy Code (hereinafter referred as “Code”) is rescuing corporate debtors in distress. The Code has rescued 3,624 corporate debtors (1,194 through resolution plans, 1,276 through appeal or review or settlement and 1,154 through withdrawal) till March 2025. It has referred 2,758 corporate debtors for liquidation. Several initiatives are being taken to improve the outcomes of the Code which have steadily increased the number of cases ending with resolution vis-à-vis cases in which liquidation is ordered (Chart 3.1). 3.47 Cumulatively till March 31, 2025, creditors have realised ₹3.89 lakh crore under the resolution plans, which is around 170.1 per cent of liquidation value and 93.41 per cent of fair value (based on 1082 cases, where fair value has been estimated). In terms of percentage of admitted claims, the creditors have realised 33 per cent. Furthermore, realisable value through RPs does not include (a) possible realisation through corporate and personal guarantors and recovery against avoidance transactions; (b) the CIRP cost; and (c) other probable future realisations, such as increase in value of diluted equity and funds infused into the corporate debtor, including capital expenditure by the resolution applicants. About 40 per cent of the CIRPs that yielded resolution plans were defunct companies. In these cases, the claimants have realised 152 per cent of the liquidation value and 19 per cent of their admitted claims.
3.48 Till March 2025, the total number of CIRPs ending in liquidation was 2,758, of which final reports have been submitted for 1,374 corporate debtors. These corporate debtors together had outstanding claims of ₹4.27 lakh crore, but the assets were valued at only ₹0.16 lakh crore. The liquidation of these companies resulted in realisation of 90 per cent of the liquidation value. The 1,194 CIRPs which have yielded resolution plans till March 2025 took an average of 597 days for conclusion of process, while incurring an average cost of 1.2 per cent of liquidation value and 0.8 per cent of resolution value. Similarly, the 2,758 CIRPs, which ended up in orders for liquidation, took an average 508 days for conclusion. III.3.5 Developments in International Financial Services Centre (IFSC) 3.49 To establish a world-class regulatory framework for firms operating in GIFT-IFSC, the International Financial Services Centres Authority (IFSCA) has issued 35 new regulations and 16 frameworks since 2021 which are aligned with international best practices. As of end-March 2025, the total number of registrations/ authorisations given by IFSCA has reached 865. 3.50 Nearly 161 Fund Management Entities (FMEs) registered in IFSC have launched 229 Funds (AIFs) with a total targeted corpus of US$ 50 billion. In terms of exchanges at IFSCA, the monthly turnover on GIFT IFSC Exchanges was US$ 95.30 billion in March 2025, whereas the average daily turnover of NIFTY derivative contracts on NSE International Exchange (NSE IX) was US$ 4.53 billion in the same period. A total of US$ 63.68 billion debt securities has been listed on the IFSC exchanges including US$ 15.43 billion of green bonds, social bonds, sustainable bonds and sustainability-linked bonds till March 2025. 3.51 The banking ecosystem at GIFT-IFSC comprises 29 banks (IFSC banking units), including 13 foreign banks, 16 domestic banks and one multilateral bank offering a wide spectrum of financial services. In addition to the banking units, two Global Administrative Offices (GAOs) are already operational in IFSC. The total banking asset size has grown from US$ 14 billion in September 2020 to US$ 88.7 billion in March 2025. The cumulative banking transactions have grown from US$ 53 billion in September 2020 to US$ 1.24 trillion till March 2025. 3.52 The India International Bullion Exchange (IIBX), a vibrant gold trading hub, has seen transactions and imports amounting to 101 Tonnes of Gold (equivalent to US$ 8.46 billion) and 1,147.98 Tonnes of Silver (equivalent to US$ 927 million). The registered aircraft leasing entities in GIFT-IFSC have grown to 33, while the total registered ship leasing/ ship financing entities have grown to 24 till March 2025. III.3.6 Pension Funds 3.53 The National Pension System (NPS) and Atal Pension Yojana (APY) have steadily grown, with increases in both subscriber count and assets under management. As of March 31, 2025, in terms of number of subscribers, NPS and Atal Pension Yojana (APY) have shown a growth of 14.2 per cent since March 2024, whereas the asset under management (AUM) has recorded a growth of 23.1 per cent in the same period. The combined subscriber base under NPS and APY has reached 8.4 crore in March 2025, with an AUM of ₹14.4 lakh crore (Chart 3.2), which is primarily invested in fixed income instruments (Chart 3.3). 3.54 The Unified Pension Scheme (UPS) as an option under NPS, was issued by the Department of Financial Services vide Notification dated January 24, 2025. In terms of Para 15 of the said notification, the PFRDA vide Gazette notification dated 19th March 2025 has issued PFRDA (Operationalisation of the Unified Pension Scheme under NPS) Regulations, 2025 and Central Recordkeeping Agencies has rolled out the processes for subscribers who are desirous of exercising choice of UPS. III.3.7 Insurance 3.55 The life insurance sector has witnessed steady growth in premium income over the years, driven by factors such as increasing disposable incomes, regulatory reforms, improved ease of doing business and greater public awareness about the importance of insurance. The total insurance premium collected by life insurers increased to ₹8.7 lakh crore in 2024-25 from ₹8.3 lakh crore in 2023-24, registering a growth rate of 5.2 per cent. Similarly, new business premium of life insurance industry rose by 5 per cent, reaching ₹4.0 lakh crore in 2024-25 from ₹3.8 lakh crore in 2023-24. The total premium underwritten by general and health insurers reached ₹3.1 lakh crore in 2024-25 exhibiting a 6.2 per cent growth. Among various lines of business, the health insurance segment (which includes Overseas Medical Insurance) has experienced significant growth of 9 per cent. 3.56 The IRDAI (Maintenance of Information by the Regulated Entities and Sharing of Information by the Authority) Regulations, 2025 consolidate and replace the following three regulations: a) IRDA (Sharing of Confidential Information concerning Domestic or Foreign Entity) Regulations, 2012; (b) IRDAI (Maintenance of Insurance Records) Regulations, 2015; and (c) IRDAI (Minimum Information Required for Investigation and Inspection) Regulations, 2020. These consolidated regulations mandate electronic record-keeping with robust security and privacy measures, require regulated entities to adopt data governance framework and implement Board approved policies for record maintenance. 3.57 IRDAI has issued comprehensive guidelines allowing insurers to use equity derivatives to hedge their equity investment portfolios, thus safeguarding the market value of insurers’ equity holdings by mitigating the impact of market volatility. Further, IRDAI has introduced a new facility called “Bima Applications Supported by Blocked Amount” (Bima-ASBA). Under this mechanism, funds are blocked in the prospect’s bank account via a one-time UPI mandate and are transferred to the insurer only upon policy issuance. If the proposal is not accepted, the blocked amount is released, ensuring greater transparency and trust in the policy purchase process. 1 BCBS (2025), “Basel III monitoring report”, March. 2 Group 1 banks are those that have Tier 1 capital of more than €3 billion and are internationally active. All other banks are considered Group 2 banks. 3 BCBS (2025), “Principles for the management of credit risk”, April. 4 FSB (2025), “Evaluation of the Effects of the G20 Financial Regulatory Reforms on Securitisation”, January. 5 IOSCO’s policy recommendations in 2012 prescribed minimum risk retention requirements and standardised disclosure templates. Risk retention, or ‘skin in the game’, was identified as one way to address the misaligned incentives that was embedded in the ‘originate to distribute’ model of some securitisation products. 6 IOSCO (2025), “Thematic Review on Technological Challenges to Effective Market Surveillance Issues and Regulatory Tools”, February. 7 A statutory regulator, a self-regulatory organisation or the operator of a trading venue, responsible for conducting and/ or overseeing market surveillance efforts. 8 IOSCO (2025), “IOSCO Standards Implementation Monitoring (ISIM)”, April. 9 The Financial Stability and Development Council (FSDC) was set up by the Government as the apex level forum in December 2010 and is chaired by the Hon’ble Finance Minister. Members are Minister of State (Finance), Reserve Bank of India (RBI), Chief Economic Adviser to the Ministry of Finance, Securities and Exchange Board of India (SEBI), Insurance Regulatory and Development Authority of India (IRDAI), Pension Fund Regulatory and Development Authority (PFRDA), Insolvency and Bankruptcy Board of India (IBBI), International Financial Services Centre Authority (IFSCA), Secretaries of the Departments of (i) Economic Affairs, (ii) Financial Services, (iii) Revenue, (iv) Expenditure, (v) Ministry of Corporate Affairs and (v) Ministry of Electronics and Information Technology. 10 BCBS-CPMI-IOSCO (2025), “Transparency and responsiveness of initial margin in centrally cleared markets – review and policy proposals”, January. 11 BCBS-IOSCO (2025), “Streamlining VM processes and IM responsiveness of margin models in non-centrally cleared markets”, January. 12 FSB (2025), “Format for Incident Reporting Exchange (FIRE): Final report”, April. 13 FSB (2025), “Assessment of Climate-related Vulnerabilities: Analytical framework and toolkit”, January. 14 Shows the modelled increase in carbon costs relative to company earnings under different climate scenarios. 15 Reflects the sensitivity of financial or non-financial stock prices to climate transition or physical risks. 16 Expected capital shortfall of a financial institution in a climate stress generated via climate-related market and credit risk channels. 17 FSB (2025), “The Relevance of Transition Plans for Financial Stability”, January. 18 International Association of Insurance Supervisors (2025), “Application Paper on the supervision of climate-related risks in the insurance sector”, April. 19 MNRL comprises numbers that have been disconnected due to various reasons. 20 The March 2023 banking turmoil in the U.S. was characterised by the swift collapse of few U.S. banks, driven by rising interest rates and erosion of their bond portfolios, exacerbated by a heavy reliance on digital bank deposits which accelerated depositor withdrawals. 21 The runoff rate factor represents the estimated percentage of deposits a bank expects to be withdrawn or transferred during a period of stress. |
Contents
| Foreword |
| List of Select Abbreviations |
| Overview |
| Chapter I : Macrofinancial Risks |
| Macroeconomic Outlook |
| Global Outlook |
| Domestic Outlook |
| Financial Markets |
| Global Financial Markets |
| Domestic Financial Markets |
| Corporate and Household Sector |
| Corporate Sector |
| Household Sector |
| Banking System |
| NBFC Sector |
| Special Feature: Financial Stability Implications of Stablecoins |
| Chapter II : Financial Institutions: Soundness and Resilience |
| Scheduled Commercial Banks (SCBs) |
| Deposit and Credit |
| Asset Quality |
| Sectoral Asset Quality |
| Credit Quality of Large Borrowers |
| Earnings and Profitability |
| Capital Adequacy |
| Liquidity |
| Resilience – Macro Stress Test |
| Sensitivity Analysis |
| Sensitivity Analysis of Small Finance Banks – Credit Risk |
| Bottom-up Stress Tests: Derivatives Portfolio |
| Primary (Urban) Cooperative Banks |
| Stress Testing |
| Non-Banking Financial Companies (NBFCs) |
| Stress Test - Credit Risk |
| Stress Test - Concentration Risk |
| Stress Test - Liquidity Risk |
| Stress Testing of Mutual Funds |
| Stress Testing Analysis at Clearing Corporations |
| Financial Network and Contagion Analysis |
| Financial System Network |
| Contagion Analysis |
| Insurance Sector |
| Premium Profile |
| Assets under Management (AUM) |
| Insurance Penetration and Density |
| Market Structure and Concentration |
| Settlement of Claims |
| Expenses |
| Reinsurance |
| Profitability |
| Equity Share Capital |
| Solvency |
| Emerging Areas of Stress |
| Chapter III : Regulatory Initiatives in the Financial Sector |
| Global Regulatory Developments |
| Banking |
| Non-Bank Financial Intermediation |
| Financial Markets |
| Decentralised Finance |
| Climate Finance |
| Artificial Intelligence |
| Initiatives from Domestic Regulators / Authorities |
| Consolidated Master Directions (MDs) |
| Directions on Co-Lending Arrangements |
| Know Your Customer (KYC) Directions - Amendments |
| Non-Fund Based Credit Facilities |
| Investment in Alternative Investment Funds (AIFs) |
| Framework for Responsible and Ethical Enablement of Artificial Intelligence (FREE-AI) |
| Special Drive and Scheme to Refund Unclaimed Financial Assets to Rightful Owners |
| Measures for Enhancing Trading Convenience and Strengthening Risk Monitoring in Equity Derivatives |
| Framework for Environment, Social and Governance (ESG) Debt Securities (other than green debt securities) |
| Accessibility and Inclusiveness of Digital KYC to Persons with Disabilities |
| Review of the Regulatory Framework for Social Stock Exchange (SSE) |
| Investor Behaviour – Insights from SEBI Investor Survey |
| Measures to Strengthen Investor Protection in the Securities Market |
| Sabka Bima Sabki Raksha (Amendment of Insurance Laws) Act, 2025 |
| GST Reforms in the Insurance Sector |
| Financial Sector Cybersecurity Strategy |
| Other Developments |
| Customer Protection |
| Enforcement |
| Deposit Insurance |
| Corporate Insolvency Resolution Process (CIRP) |
| Developments in International Financial Services Centre (IFSC) |
| Pension Funds |
| Annex 1 : Methodologies |
| Annex 2 : Important Domestic Regulatory Measures |
| Reserve Bank of India (RBI) |
| Securities and Exchange Board of India (SEBI) |
| Insurance Regulatory and Development Authority of India (IRDAI) |
| Pension Fund Regulatory and Development Authority (PFRDA) |
| Insolvency and Bankruptcy Board of India (IBBI) |
| International Financial Services Centres Authority (IFSCA) |
| LIST OF CHARTS |
| Chapter I |
| 1.1 Disconnect between Uncertainty and Financial Market Volatility |
| 1.2 India – Sound Macroeconomic Fundamentals |
| 1.3 India – Healthy Financial System |
| 1.4 Indian Financial System Stress Remains Low |
| 1.5 2026 Growth Forecast Revised Downwards |
| 1.6 Rising Stock Market Capitalisation and Public Debt |
| 1.7 Fiscal Strains Reflected in Widening Swap Spreads |
| 1.8 Rally in Risk Asset Prices Helping EM Flows |
| 1.9 India – Contribution to Real GDP Growth |
| 1.10 India – Real GDP Projections 2025-26 Revised Upwards |
| 1.11 Elongation of Weighted Average Maturity of Sovereign Bonds and Yield Curve Steepening |
| 1.12 Higher Share of Committed Expenditure in States’ Spending |
| 1.13 Manageable Current Account Balance |
| 1.14 Moderation in Foreign Investments |
| 1.15 Financial Account Turns Positive |
| 1.16 Limited External Vulnerability and Adequate Reserves |
| 1.17 Valuations in a Range of Asset Classes at Historically Stretched Levels |
| 1.18 Stretched Equity Valuations and Increasing Concentration |
| 1.19 Asian Stocks Performance Mirroring US Stocks |
| 1.20 Debt Issuance by AI Companies Rising and Spreads Widening |
| 1.21 Financial Conditions, Fund Flows and Asset Price Movements |
| 1.22 Bank Lending to Private Credit Vehicles Growing |
| 1.23 Rising Hedge Fund Leverage and Short Futures Position |
| 1.24 Increasing Reliance on Short-Term Debt in AEs |
| 1.25 Domestic Financial Conditions Eased |
| 1.26 Pressure on Long-Term Bond Yields |
| 1.27 Rupee Depreciation |
| 1.28 Strong IPO Trend – OFS vs Fresh Issue |
| 1.29 India’s Modest Equity Market Performance |
| 1.30 Equity Market Performance Underpinned by Low Volatility and Strong DII Flows |
| 1.31 FPI Outflows and Equity Market Resilience During Global Stress Episodes |
| 1.32 Equity Valuations Remain at Higher End of Historical Range |
| 1.33 Equity Risk Premium Rising amid Declining Earnings Projections |
| 1.34 Impact of US Tariffs - Sectoral Indices Performance |
| 1.35 Bank Stock Performance Around Liberation Day Announcement |
| 1.36 Corporate Bond Market Trends |
| 1.37 Corporate Bond Spreads and Rating |
| 1.38 AUM of the Domestic Mutual Fund Industry Growing |
| 1.39 Resilient SIP Flows |
| 1.40 Monthly Net Inflows in MF Schemes |
| 1.41 Domestic Passive Fund Flows |
| 1.42 Listed Private Non-Financial Companies – Steady Sales and Profits |
| 1.43 Interest Coverage Ratio of Listed NGNF Companies |
| 1.44 Decreasing Leverage with Sizeable Cash Buffers in Corporate Sector |
| 1.45 India’s Household Debt Relatively Low |
| 1.46 Non-housing Retail Loans Dominate Household Borrowings |
| 1.47 Risk Profile of Household Borrowings Improved |
| 1.48 Consumption Loans Dominate Household Borrowings |
| 1.49 Improving Borrower Risk Profile in Outstanding Household Borrowings |
| 1.50 Household Financial Assets and Liabilities |
| 1.51 Household Financial Wealth |
| 1.52 Robust Domestic Banking System |
| 1.53 SCBs’ Improving Financials |
| 1.54 Banks’ Funding and Asset Structures Show No Major Vulnerabilities |
| 1.55 Credit Growth Reviving |
| 1.56 Outstanding Credit to Commercial Sector from Domestic Sources |
| 1.57 Banks’ Increasing Reliance on Other Operating Income |
| 1.58 Unsecured Retail Lending - Elevated Slippages and Write-offs in PVBs |
| 1.59 Credit to the MSME Sector Growing |
| 1.60 Asset Quality of MSMEs Improving |
| 1.61 MSME Credit in Sectors Exposed to US Tariffs |
| 1.62 Asset Quality of MSME Credit in Sectors Exposed to US Tariffs |
| 1.63 SFBs - Asset Quality, Deposit Profile and Profitability |
| 1.64 Credit to the Microfinance Sector Declining |
| 1.65 Microfinance Sector Stress and Indebtedness Easing |
| 1.66 Consumer Segment Loan Growth Shows Signs of Recovery |
| 1.67 Consumer Segment Credit Demand Strengthens |
| 1.68 Consumer Segment Credit Growth |
| 1.69 Borrower Risk Profile of Outstanding Loans |
| 1.70 Asset Quality of Consumer Segment Loans Improving |
| 1.71 Banking Stability Indicator and Map |
| 1.72 Banks’ Asset Exporsure to NBFIs |
| 1.73 NBFC Sector Remains Robust |
| 1.74 NBFCs’ Steady Credit Growth and Declining Credit Cost |
| 1.75 NBFCs’ Borrowing and Funding Profile |
| 1.76 NBFCs - Slippage Ratio and Write-Offs to Gross NPA |
| 1.77 NBFC-MFIs’ Credit Cost Rising |
| 1.78 Share of Fintech Firms in Total NBFC Unsecured Loans Growing |
| 1.79 Impairment in Unsecured Loans Declining |
| 1.80 Channels of Bank-NBFC Interlinkages Evolving |
| 1.81 Transfer of Loan and Securitisation Exposure of Banks - Asset Quality and Concentration |
| 1.82 Non-Banking Stability Indicator and Map |
| Special Feature |
| 1 Stablecoin Market Capitalisation and Volatility |
| 2 Stablecoin Cross-Border Flows |
| 3 Stablecoin Cross-Border Flows - Country-Level Drivers |
| 4 Peg Stability of Stablecoins during Stress Episodes |
| 5 Stablecoin Issuers among Top Buyers of US T-bills in 2024 |
| Chapter II |
| 2.1 Deposit and Credit Profile of SCBs |
| 2.2 Select Asset Quality Indicators |
| 2.3 Sectoral Asset Quality Indicators |
| 2.4 Select Asset Quality Indicators of Large Borrowers |
| 2.5 Select Performance Indicators of SCBs |
| 2.6 Capital Adequacy |
| 2.7 Liquidity Ratios |
| 2.8 Macro Scenario Assumptions |
| 2.9 CRAR Projections |
| 2.10 Projection of CET1 Capital Ratio |
| 2.11 Projection of GNPA Ratio |
| 2.12 Credit Risk – Shocks and Outcomes |
| 2.13 Credit Concentration Risk – Borrowers Exposure |
| 2.14 Credit Concentration Risk posed by Top 100 Borrowers |
| 2.15 AFS and FVTPL (including HFT) Portfolios and share of Bank-groups |
| 2.16 HTM Portfolio – Composition |
| 2.17 HTM Portfolio – Unrealised Gain/ Loss as on September 30, 2025 |
| 2.18 Equity Price Risk – Fall in System Level CRAR |
| 2.19 LCR-based Liquidity Stress Test |
| 2.20 Credit Risk for SFBs - Shocks and Outcomes |
| 2.21 MTM Impact of Shocks on Derivatives Portfolio of Select Banks |
| 2.22 Income from the Derivatives Portfolio |
| 2.23 UCBs - Performance and Health Indicators |
| 2.24 Stress Test of UCBs |
| 2.25 NBFC – Key Financial Parameters |
| 2.26 NBFC – Upper Layer – Key Financial Parameters |
| 2.27 NBFC – Middle Layer – Key Financial Parameters |
| 2.28 NBFCs – Credit Profile of Large Borrowers |
| 2.29 Credit Risk in NBFCs - System Level |
| 2.30 Credit Concentration Risk - Exposures |
| 2.31 Range (Surplus (+)/ Deficit (-)) of LR-RaR and LR-CRaR Maintained by AMCs over AMFI Prescribed Limits |
| 2.32 Bilateral Exposures between Entities in the Financial System |
| 2.33 Instrument-wise Exposure among Entities in the Financial System |
| 2.34 Network Plot of the Financial System – September 2025 |
| 2.35 Net Receivables (+ve)/ Payables (-ve) by Categories of Institutions |
| 2.36 Inter-Bank Market |
| 2.37 Composition of Fund based Inter-Bank Market |
| 2.38 Network Structure of the Indian Banking System (SCBs + SUCBs) – September 2025 |
| 2.39 Connectivity Statistics of the Banking System (SCBs) |
| 2.40 Gross Receivables of AMC-MFs from the Financial System |
| 2.41 Gross Receivables of Insurance Companies from the Financial System |
| 2.42 Gross Payables of NBFCs to the Financial System |
| 2.43 Gross Payables of HFCs to the Financial System |
| 2.44 Gross Payables and Receivables of AIFIs to the Financial System |
| 2.45 Solvency Contagion Impact of Macroeconomic Shocks |
| 2.46 Life and Non-life sectors – Total Premium and Sector-wise Premium Share |
| 2.47 Insurance Sector – AUM |
| 2.48 Insurance Sector – Market Share of Top 5 Insurers |
| 2.49 Benefits paid by Life Insurers |
| 2.50 Net Incurred Claims by Non-life Insurers |
| 2.51 Expenses – Life Insurers |
| 2.52 Expenses – Non-life Insurers |
| 2.53 Reinsurance |
| 2.54 Profitability Measures – Life Insurance Sector |
| 2.55 Profitability Measures – Non-life Insurance Sector |
| 2.56 Insurance Sector - Equity Share Capital |
| 2.57 Insurance Sector – Solvency |
| Chapter III |
| 3.1 NPS and APY – Subscribers and AUM Trend |
| 3.2 NPS and APY AUM: Asset Class-wise Bifurcation |
| LIST OF TABLES |
| Chapter I |
| 1.1 AUM of Pension Funds |
| 1.2 AUM of Insurance Companies |
| 1.3 Resource Mobilisation through the Indian Securities Market |
| 1.4 Personal Loans - Score Migration for Risk Categories |
| Chapter II |
| 2.1 Health Tracker Heat Map - Scheduled Commercial Banks (SCBs) |
| 2.2 Sensitivity Analysis – Industry sub-sector level |
| 2.3 PV01 of AFS and FVTPL (including HFT) Portfolios |
| 2.4 Interest Rate Risk – Impact of Stress Test on Bank-groups |
| 2.5 Earnings at Risk (EAR) - Traditional Gap Analysis (TGA) |
| 2.6 Market Value of Equity (MVE)- Duration Gap Analysis (DGA) |
| 2.7 NBFCs’ Sources of Funds |
| 2.8 Liquidity Risk in NBFCs |
| 2.9 Stress Testing of Open-Ended Debt Schemes of Mutual Funds – Summary Findings – November 2025 |
| 2.10 Summary of Stress Tests and Liquidity Analysis of MF Midcap and Smallcap Schemes |
| 2.11 Minimum Required Corpus of Core SGF Based on Stress Testing Analysis at Clearing Corporations |
| 2.12 Contagion Losses due to Bank Failure – September 2025 |
| 2.13 Contagion Losses due to NBFC Failure – September 2025 |
| 2.14 Contagion Losses due to HFC Failure – September 2025 |
| 2.15 Insurance Penetration and Density |
| Chapter III |
| 2.1 Category of Complaints Received under the RB-IOS, 2021 |
| 2.2 Type/Category of Complaints |
| 2.3 Status of Disputes on SmartODR.in |
| 2.4 Coverage of Deposits |
| 2.5 Bank Group-wise Deposit Protection Coverage |
| 2.6 Deposit Insurance Premium |
| 2.7 Deposit Insurance Fund and Reserve Ratio |
| 2.8 Status of Corporate Insolvency Resolution Process |
| 2.9 Sectoral Distribution of CIRPs |
| 2.10 Outcome of CIRPs, Initiated Stakeholder-wise |
Chapter II: Financial Institutions: Soundness and Resilience
The Indian banking sector continued to remain robust with strong capital and liquidity buffers, improved asset quality and steady profitability. Macro stress test results reaffirmed the resilience of SCBs to adverse macroeconomic shocks. The NBFC sector remained resilient with improvement in asset quality alongside healthy capital and profitability ratios. Interconnectedness among different categories of financial entities, in terms of the outstanding bilateral exposures, continued to grow at a strong pace. Introduction 2.1 The Indian financial sector remained strong and resilient amid global headwinds, as reflected by financial parameters. The scheduled commercial banks (SCBs), urban cooperative banks (UCBs) and non-banking financial companies (NBFCs) remained sound with robust capital and liquidity buffers, demonstrating ongoing improvement in asset quality, and maintaining steady profitability. Stress test results at the aggregate level reaffirmed the resilience of these financial entities to withstand losses under adverse scenarios and to maintain capital buffers well above regulatory minimum levels. Asset management companies, clearing corporations and insurance sector also remained sound. 2.2 This chapter presents stylised facts, analyses on the health of the domestic financial sector and stress tests conducted to assess the resilience of the financial system. Section II.1 outlines the performance of SCBs in India through various parameters, viz., business mix; asset quality; credit concentration; earnings; profitability and capital adequacy. Results of macro stress tests, sensitivity analyses and bottom-up stress tests performed to evaluate the resilience of SCBs under adverse scenarios are also presented. Sections II.2 and II.3 describe the financial performance of UCBs and NBFCs, respectively, including their resilience under various stress scenarios. Sections II.4 and II.5 examine the soundness and resilience of mutual funds and clearing corporations, respectively. Section II.6 covers a detailed analysis of the network structure and connectivity of the Indian financial system as well as contagion analysis under stress scenarios. Section II.7 concludes the chapter with assessment of the insurance sector. II.1 Scheduled Commercial Banks (SCBs)1 2 3 4 2.3 SCBs' asset quality continued to improve while they maintained stable capital and liquidity positions, as reflected in data as of September 2025. However, year-on-year growth in net interest income has remained muted over the first half of 2025-26, impacting the profit growth (Table 2.1). II.1.1 Deposit and Credit 2.4 SCBs’ aggregate deposit growth (y-o-y) continued to fall in successive half years since March 2024 and reached 9.8 per cent as of end-September 2025, led by sharp deceleration for private sector banks (PVBs) (Chart 2.1 a). The fall in share of CASA deposits and rise in share of time deposits across bank groups continued (Chart 2.1 b). 2.5 SCBs’ credit growth remained steady at 11.0 per cent y-o-y at end-September 2025 (Chart 2.1 c). Credit growth of PSBs fell marginally but PVBs more than compensated with higher growth. However, growth of PSBs continued to outpace that of PVBs. In sectoral composition, the shares of agricultural and industrial loans in aggregate credit contracted, while those of services and personal loans expanded over the previous year (Chart 2.1 d). Industrial loans growth for PVBs and personal loans growth for PSBs showed a sharp rise in September 2025 (Chart 2.1 e). 2.6 Within personal loans, SCBs’ credit growth (y-o-y) in vehicle/ auto loans and other personal loans increased in September 2025 as compared with March 2025, amid broad-based deceleration in other sub-segments (Chart 2.1 f). Personal loans continued to be dominated by housing loans (share 45.6 per cent) followed by other personal loans (37.3 per cent). II.1.2 Asset Quality 2.7 PSBs and FBs led the continued improvement in asset quality. At the aggregate level, the GNPA ratio of SCBs declined to a fresh multi-decadal low of 2.2 per cent, and their NNPA ratio remained at a record low of 0.5 per cent (Chart 2.2 a). PSBs, who accounted for 54.1 per cent of SCBs’ loans, continued to contribute more than three-fifth share in SCBs’ GNPAs, though their share has continuously declined with corresponding rise in the share of PVBs over the last year (Chart 2.2 b). 2.8 The half-yearly slippage ratio, measuring new accretions to NPAs as a share of standard advances at the beginning of the period, remained stable at 0.7 per cent, though it increased marginally for PVBs (Chart 2.2 c). The provisioning coverage ratio (PCR) of PSBs continued to increase, while it declined for PVBs and FBs in September 2025 (Chart 2.2 d). Write-off ratio5 decreased for PSBs, while it shot up in case of PVBs and FBs in the current financial year (Chart 2.2 e). II.1.3 Sectoral Asset Quality 2.9 Credit quality continued to improve across broad economic sectors. The GNPA ratio for agriculture sector has been improving marginally in the recent period, although it remained much higher than those of the other sectors (Chart 2.3 a). In the personal loans category, asset quality of SCBs improved across all segments, except for vehicle/ auto loans (Chart 2.3 b). Within the industrial sub-sectors, asset quality exhibited sustained improvement across all sub-sectors barring food processing (Chart 2.3 c). II.1.4 Credit Quality of Large Borrowers6 2.10 The share of large borrowers in total credit of SCBs remained steady at around 44.0 per cent but their share in gross NPAs declined significantly over the past few years to 33.8 per cent as on September 2025 (Chart 2.4 a). Asset quality exhibited considerable improvement across bank groups, with the aggregate GNPA ratio falling from 3.0 per cent in March 2024 to 1.6 per cent in September 2025 (Chart 2.4 b). 2.11 SMA-1 and SMA-2 loans saw contraction in volume at end-September over end-June 2025, while that of SMA-07 loans marginally increased (Chart 2.4 c). Credit quality of large borrowers was broadly in line with external ratings. A significant portion (36.6 per cent) of large borrowers’ advances, with GNPA ratio at 3.5 per cent, had no external ratings (Chart 2.4 d). II.1.5 Earnings and Profitability 2.12 NII growth (y-o-y) of SCBs declined sharply to 2.3 per cent in September 2025 as compared with the earlier periods (Chart 2.5 a). The decline was seen across all bank groups. Consequently, the growth in profit of SCBs slowed further in September 2025, as indicated by profit after tax (PAT) growth at 3.8 per cent (y-o-y) compared to double digit growth in 2023-24 and 2024-25. Contribution of other operating income (OOI) to PAT increased in the current financial year (Chart 2.5 b). 2.13 Net interest margin (NIM) recorded a broadbased 20 bps fall in September 2025 over March 2025 due to relatively higher decline in yield on assets than in cost of funds (Chart 2.5 c, d and e). Both return on equity (RoE) and return on assets (RoA) ratios have declined in the last two half years, but remained at comfortable levels (Chart 2.5 f and g). II.1.6 Capital Adequacy 2.14 As of September 2025, the capital to risk weighted assets ratio (CRAR) across bank groups remained strong, PSBs at 16.0 per cent and PVBs at 18.1 per cent (Chart 2.6 a). CET1 capital ratio also remained high across bank groups, indicating accretion of high-quality capital by banks. The overall Tier 1 leverage ratio8 increased in September 2025 (Chart 2.6 b). II.1.7 Liquidity 2.15 PSBs and FBs improved their liquidity positions further in September 2025, as evident from the strengthening of both liquidity coverage ratio (LCR)9 and net stable funding ratio (NSFR)10 over March 2025. Both LCR and NSFR have been above regulatory minimum across bank groups (Chart 2.7 a and b). II.1.8 Resilience – Macro Stress Test 2.16 Macro stress test assesses the resilience of SCBs to withstand adverse macroeconomic shocks. The test attempts to project the capital ratios of banks over a one-and-half year horizon under three scenarios – a baseline and two adverse macro scenarios. While the baseline scenario was derived from the latest forecasted paths of the macroeconomic variables, the two adverse scenarios are hypothetically stringent stress scenarios11 (Chart 2.8). (i) Adverse Scenario 1: This scenario assumed that a gradual slowdown in global growth, on account of heightened economic uncertainty as well as lingering geopolitical conflicts, would lead to a gradual drop in domestic GDP growth and a moderate rise in domestic inflation over time. It is also assumed that central bank would have limited policy space to ease policy rate to boost growth. (ii) Adverse Scenario 2: This scenario assumed that global trade uncertainties, unfavourable trade deals and higher trade gap would result in a sharp dent in the domestic GDP growth. Further, capital outflows, currency depreciation and supply dislocations would push up inflation beyond the tolerance band over time. The scenario further assumed that the central bank would tighten monetary policy. 2.17 The macro stress test results reaffirmed the resilience of SCBs to the assumed macroeconomic shocks. The results revealed that the aggregate CRAR of 46 major SCBs may drop from 17.1 per cent in September 2025 to 16.8 per cent by March 2027 under the baseline scenario. It may fall to 14.5 per cent and 14.1 per cent under the hypothetical adverse scenarios 1 and 2, respectively (Chart 2.9 a). However, none of the banks would fall short of the minimum CRAR requirement of 9 per cent even under the adverse scenarios. Two banks may require to dip into the capital conservation buffer (CCB) under adverse scenario 1, while four banks may require dipping into the CCB under adverse scenario 2, if stakeholders do not infuse any further capital into these banks (Chart 2.9 b). 2.18 The CET1 capital ratio of the select 46 banks may marginally improve from 14.6 per cent in September 2025 to 14.8 per cent by March 2027 under the baseline scenario. However, it may decrease to 12.7 per cent and 12.3 percent under adverse scenario 1 and adverse scenario 2, respectively. All banks would be able to meet the minimum CET1 ratio requirement including CCB of 8 per cent, under all these scenarios (Chart 2.10). 2.19 The aggregate GNPA ratio of the 46 banks may improve from 2.1 per cent in September 2025 to 1.9 per cent in March 2027 under the baseline scenario. It may rise to 3.2 per cent and 4.2 per cent, under adverse scenarios 1 and 2, respectively (Chart 2.11). II.1.9 Sensitivity Analysis12 2.20 Unlike macro stress tests, in which the shocks are applied in terms of adverse macroeconomic conditions, in sensitivity analyses13, shocks are applied to single factors like GNPA, interest rate, etc., one shock at a time. This sub-section presents the results of top-down sensitivity analyses involving several single-factor shocks to assess the vulnerabilities of SCBs towards simulated credit, interest rate, liquidity risks under various stress scenarios, based on data as of September 2025. a. Credit Risk 2.21 In credit risk sensitivity analyses, the two assumed stress scenarios were - (i) one standard deviation (SD)14 [Shock 1] and (ii) two SD [Shock 2] rise in the aggregate level GNPA ratio as of September 2025. 2.22 Under the more severe shock scenario viz., Shock 2, the aggregate GNPA ratio of 46 select SCBs would move up from 2.1 per cent to 8.1 per cent, which would cause depletion in the CRAR and CET1 capital ratios by 380 bps and 370 bps, respectively. However, both the capital ratios would remain well above the respective regulatory minimum levels (Chart 2.12 a). The resultant capital impairment at the system level could be 23.5 per cent. The reverse stress test showed that shocks of 4.3 SD and 6.2 SD on the aggregate GNPA ratio would be required to bring down the system-level CRAR and the CET1 capital ratio, respectively, below their regulatory minimum. 2.23 At bank group level, stress tests indicated relatively higher depletion in the capital of PSBs as compared to PVBs and FBs (Chart 2.12 b). At bank level, six banks with a share of 15 per cent in SCBs’ total assets, would breach the regulatory minimum level of CRAR under Shock 2 (Chart 2.12 c). b. Credit Concentration Risk 2.24 Stress tests on banks’ credit concentration showed that in the extreme scenario of default15 in payment by the top three individual borrowers, in terms of standard exposure of respective banks, the system level GNPA ratio would rise by 350 bps, and CRAR and CET1 ratio would decline by 90 bps and 80 bps, respectively (Chart 2.13 a). Instead of individual borrowers, if top three group borrowers fail to repay, the impact would be more severe in the form of 520 bps rise in the GNPA ratio and 130 bps fall in both capital ratios (Chart 2.13 b). However, CRAR of none of the banks would fall below the regulatory minimum in both the cases. 2.25 In assessing the system-wide impact of the large borrowers, the concentration of the top16 hundred borrowers waned in the last two years, as reflected by the continuous decline in the CR- 100 ratio17. The Credit Concentration Risk Index (CCRI)18, estimated based on top 100 borrowers, also continued to decline sequentially over the past few quarters, affirming decrease in concentration risk among the top 100 borrowers (Chart 2.14). c. Sectoral Credit Risk 2.26 Stress tests to assess credit risk of major industry sub-sectors, applying shocks (1 and 2 SD) to the respective sub-sector-wise GNPA ratios, indicated minimal impact on the capital of SCBs at aggregate level (Table 2.2). 2.27 For the sample of 46 SCBs under assessment, the market value of investments declined in successive quarters to ₹22.8 lakh crore in September 2025 from the peak of ₹23.8 lakh crore in March 2025 (Chart 2.15). PSBs’ share was on a rise during the same period with corresponding fall in the share of FBs while the share of PVBs was observed to be broadly stagnant since the last five quarters. 2.28 The sensitivity (PV0121) of both the AFS and FVPTL (including HFT) portfolios of SCBs at aggregate level declined in September 2025, mainly due to fall in portfolio size and modified duration (Table 2.3). On the contrary, PV01 increased in both the portfolios for PSBs and in the AFS portfolio in case of PVBs. 2.29 In a stress scenario of a parallel upward shift of 250 bps in the yield curve, the impact on the fair-valued portfolio would reduce the system level CRAR and CET1 ratio by 96 bps and 97 bps, respectively (Table 2.4). At a disaggregated level, the CRAR of one foreign bank would fall below the regulatory minimum of 9 per cent. 2.30 The HTM portfolio continued to display the same trend - both the PSBs and PVBs increasing their holding of state government securities (SGSs) while paring their holdings in central government securities (G-Secs) and other HTM-eligible securities. FBs, in contrary, had minimal holding of SGSs and sizeable share of other securities. They continued to increase holding of G-Secs while reducing the share of the other securities (Chart 2.16). 2.31 As at end-September 2025, the notional MTM gains in the HTM books of PSBs and PVBs together decreased to ₹43,137 crore (₹64,148 crore as at end-March 2025). Unrealised gains declined across most categories of the HTM book. Unrealised gains of PSBs were predominantly in corporate securities and others (Chart 2.17). 2.32 If a shock of 250 bps parallel upward shift in the yield curve is applied, the MTM impact on the HTM portfolio of banks excluding unrealised gains/ losses would reduce the system level CRAR and CET1 ratio by 302 bps each. However, no bank would fall short in maintaining respective regulatory minima. 2.33 An assessment of the interest rate risk of banks using traditional gap analysis (TGA) for rate sensitive global assets, liabilities and off-balance sheet items showed that for a 200 bps increase in interest rate, the earnings at risk (EAR) for time buckets up to one year for PSBs and PVBs would be at 13.1 per cent and 11.5 per cent of NII, respectively (Table 2.5). The impact would be minimal for FBs and SFBs. The impact of an interest rate rise (fall) on earnings would be positive (negative) for PSBs, PVBs and FBs, as the cumulative gap at bank group level was positive while the same for SFBs would be negative. The direction of impact for each bank group has remained the same as that of March 2025. 2.34 As per the duration gap analysis (DGA) of risk sensitive global assets, liabilities and off-balance sheet items, the market value of equity (MVE) for PVBs, FBs and SFBs would fall (rise) from an upward (downward) movement in the interest rate, while the impact on PSBs would be positive. The estimated impact of the shock for FBs and SFBs has risen since March 2025. The MVE of SFBs would be particularly weighed down by an interest rate rise (Table 2.6). e. Equity Price Risk 2.35 As banks have limited direct capital market exposures, any impact of a possible significant fall in equity market prices on banks’ CRAR is expected to be minimal. Shocks due to correction in equity prices, in form of reduction of 25, 35 and 55 per cent on the capital market exposure of the select banks, indicated moderation of the impact on CRAR in September 2025 over March 2025 (Chart 2.18). f. Liquidity Risk 2.36 Liquidity stress test attempts to assess the impact of shocks in terms of plausible run on deposits and higher demand for unutilised portions of committed credit and liquidity facilities on the liquidity positions of select 46 SCBs. The baseline scenario for the stress test applied weights to each component as prescribed by the RBI guidelines on LCR computation22. Two stress scenarios were designed by applying higher weights (run-off rates) to certain cash outflow components23. 2.37 The results showed that the aggregate LCR of the select SCBs would fall from 131.0 per cent in the baseline scenario to 123.3 per cent in stress scenario 1 and further to 116.8 per cent in stress scenario 2 (Chart 2.19 a). Individually, under the more severe stress scenario 2, three banks would fail to meet the regulatory minimum LCR requirement (Chart 2.19 b). Among bank groups, the impact of liquidity stress is the highest for PSBs (decline of 16.1 percentage points under stress scenario 2). II.1.10 Sensitivity Analysis of Small Finance Banks – Credit Risk. 2.38 Credit risk sensitivity analysis for SFBs under two similar scenarios as for the SCBs has been carried out separately, due to their smaller size and higher capital requirement. Under a more severe shock of two SD increase in the GNPA ratio, the aggregate GNPA ratio of SFBs would move up by 390 bps causing fall in CRAR and CET1 ratio by 160 bps and 170 bps, respectively, while one bank would breach the regulatory minimum level of CRAR (Chart 2.20 a and b). II.1.11 Bottom-up Stress Tests: Derivatives Portfolio 2.39 A series of bottom-up stress tests (sensitivity analyses) were undertaken by select banks24, subjecting their derivatives portfolio as of September 2025 to four different shocks viz., two each based on interest rates and foreign exchange rates. The impact of interest rate shocks on the derivatives portfolio of the select banks, in terms of change in the net MTM position, was found to increase in September 2025 over that in March 2025 with almost equal extent of gain (loss) on same degree of rise (fall) of interest rate (Chart 2.21). As regards shocks in terms of the rupee exchange rate, the direction of the net MTM impact in September 2025 reversed relative to that observed in March 2025, suggesting a shift in the underlying currency risk positions. 2.40 The income from the derivatives portfolio includes changes in net MTM positions and the realised income. Among bank groups, the contribution of the derivatives portfolio to the net operating income (NOI) was seen to increase sharply for FBs in the last one year. The share for PSBs and PVBs have been relatively lower than FBs – it turned negative for PSBs while it remained at similar level for PVBs (Chart 2.22). Based on the notional principal amount, FBs had more diversified counterparties while most of the positions taken by PVBs and PSBs were with other banks. II.2 Primary (Urban) Cooperative Banks25 2.41 Credit extended by primary urban cooperative banks (UCBs)26 recorded a y-o-y growth of 7.4 per cent in September 2025, contributed by both scheduled UCBs (SUCBs) and non-scheduled UCBs (NSUCBs) (Chart 2.23 a). 2.42 Asset quality, in terms of both GNPA ratio and NNPA ratio, improved in September 2025 as compared to a year ago (Chart 2.23 b). Similar pattern was evident in both SUCBs and NSUCBs and also in case of large borrowers, who account for 22.2 per cent of UCBs’ loan book (Chart 2.23 c). The PCR remained above its level a year ago, though it declined sharply from the previous half year level driven primarily by NSUCBs (Chart 2.23 d). Asset quality also improved over previous year across all tiers of UCBs, along with higher PCR, barring Tier 1 UCBs (Chart 2.23 e). 2.43 After contraction for two consecutive half-years, the growth in aggregate net interest income (NII) of UCBs turned positive in the half year ending September 2025. The reversal was driven by NSUCBs, which recorded a positive growth in NII, more than offsetting the continuing contraction in SUCBs’ NII for last three half years (Chart 2.23 f). The net interest margin (NIM), which was on a gradual decline across UCBs for the last three half years, stayed at 3.2 per cent (Chart 2.23 g). RoA and RoE remained at around similar level compared to that a year ago (Chart 2.23 h and i). Tier-wise, RoA and RoE declined for Tier 1 and Tier 4 UCBs over the previous year while the ratios increased for UCBs in the other two tiers. NIM declined across all tiers of UCBs as compared to a year ago (Chart 2.23 j). 2.44 The capital position of UCBs continued to remain strong with CRAR remained stable at 18 per cent in September 2025. CRAR of Tier 1 and Tier 3 UCBs strengthened y-o-y while it fell a bit for UCBs in the other two tiers27 (Chart 2.23 k and l). II.2.1 Stress Testing 2.45 Stress tests were conducted on a select set of UCBs28 to assess credit risk (default risk and concentration risk), market risk (interest rate risk in trading book and banking book) and liquidity risk, based on their reported financial positions as at end-September 2025. 2.46 Under the severe stress scenarios of credit default risk, credit concentration risk and interest rate risk in the trading book, the consolidated CRAR of the select UCBs would fall from the pre-shock level of 17.5 per cent to 15.8 per cent, 14.2 per cent and 16.0 per cent, respectively (Chart 2.24 a). A severe interest rate shock in the banking book would lower the consolidated NII by 7.4 per cent. In case of liquidity stress test, the consolidated cumulative liquidity mismatch in the 1–28 days’ time bucket was positive, under all the three stress scenarios. 2.47 At individual UCB level, Tier 1 UCBs were found to fulfil the regulatory minimum CRAR under all shocks across risk categories. Within the Tier 4 UCB cohort – the largest segment with deposits above ₹10,000 crore each – one UCB would fail to meet the regulatory minimum CRAR requirement29 of 11 per cent under severe stress scenarios for both credit default risk and credit concentration risk (Chart 2.24 b and c). 2.48 In case of stress test for market risk, none of the Tier 4 UCBs would breach the regulatory minimum CRAR threshold due to the impact of interest rate shocks on their trading books or experience a decline of more than 20 per cent in NII in their banking books under any stress scenario. However, a few Tier 2 and Tier 3 UCBs may fall short of these requirements in the severe stress scenarios. A few UCBs in the weaker tail would face negative liquidity mismatch of more than 20 per cent in the 1-28 days’ time bucket under the severe stress scenario (Chart 2.24 d, e and f). II.3 Non-Banking Financial Companies (NBFCs)30 2.49 The credit growth of NBFCs at aggregate level (Upper and Middle Layers) accelerated since March 2025 and was at 21.3 per cent31 (y-o-y) in September 2025, primarily due to the conversion of two housing finance companies (HFCs) into upper layer NBFCs in March 2025 and June 2025, while credit growth of middle layer (ML) NBFCs continued to decline (Chart 2.25 a). 2.50 Considering activity-based classification, credit growth for both NBFC-ICCs and NBFC-IFCs, which cover almost 98 per cent of aggregate credit, were strong (above 20.0 per cent). NBFC-MFI’s portfolio continued to contract in H1:2025-26 (Chart 2.25 b). 2.51 Credit growth accelerated and asset quality improved across broad economic sectors (viz., industry, services and retail segments) except for agriculture where NBFCs have minimal exposure (Chart 2.25 c and 2.25 d). Within retail segment, growth in microfinance/ SHG loans contracted in the last two half years (Chart 2.25 e). 2.52 On liquidity stock measures, despite increased CP issuances, NBFC-UL improved upon their short-term liabilities to total assets ratio (Chart 2.25 f). However, they continued to be more vulnerable on this front compared to NBFC-ML. Higher long-term assets to total assets ratio of NBFC-ML compared to NBFC-UL was due to the presence of NBFC-IFCs which mostly lend for longer term projects and account for more than half of NBFCML’s loans. 2.53 The credit growth of the upper layer NBFCs (NBFC-UL) remained strong. For the common set of NBFC-UL32, the credit growth showed some deceleration (Chart 2.26 a). The growth in funding through borrowing continued to outpace credit growth while GNPA ratio and PCR remained stable at March 2025 levels (Chart 2.26 b). 2.54 Credit by NBFC-UL accelerated towards the two dominant sectors viz., retail (loan share of 61.8 per cent) and services sectors (25.6 per cent) in September 2025 (Chart 2.26 c). At sectoral level, asset quality of retail loans, having 66.9 per cent of GNPA share, remained steady while those of services and industry sectors showed marginal deterioration (Chart 2.26 d). 2.55 NIM, RoA, RoE and the capital ratios, despite a declining trend, remained healthy (Chart 2.26 e and f). 2.56 On the basis of a common set33, there has been a slight acceleration in the credit growth of NBFC-ML from 11.9 per cent in March 2025 to 12.6 per cent in September 2025 (Chart 2.27 a). At an overall level, borrowing growth of NBFC-ML continued to keep pace with the credit growth. NBFC-ML has shown significant improvement in their asset quality since March 2023, while improving provision coverage (Chart 2.27 b). 2.57 Contrary to the NBFC-UL, NBFC-ML provided almost two-third (64.2 per cent) of their credit to the industry sector and it grew at around 17.0 per cent in the last two half years. Credit growth to other broad sectors, however, continued their declining trend (Chart 2.27 c). Asset quality, in terms of GNPA ratio, improved for all sectors (Chart 2.27 d). 2.58 The NIM continued to stay healthy at 3.8 per cent (Chart 2.27 e). The RoA and RoE fell in September 2025 but stayed above the recent lows. The capital ratios of NBFC-ML, despite their declining trend, stood at a much higher level relative to NBFC-UL (Chart 2.27 f). 2.59 While funding pattern for NBFCs at aggregate level remained similar to that a year ago, NBFC-UL’s share of borrowing from bank fell a tad with corresponding increase in debentures (non-bank) (Table 2.7). Dependence of NBFC-UL on bank borrowings was higher than NBFC-ML and the reverse in case of debentures (non-banks). More than 85 per cent of borrowings of NBFC-UL was secured while the same for NBFC-ML was around 45 per cent, translating to higher cost of funds for NBFC-ML. 2.60 Large borrowers’ share in GNPAs of NBFCs improved significantly while their share in overall credit remained steady (Chart 2.28 a). As credit growth continued to grow sharply, their asset quality has also improved steadily (Chart 2.28 b). II.3.1 Stress Test34 – Credit Risk 2.61 System level stress test under a baseline and two stress scenarios was conducted on a sample of 174 NBFCs35 over a one-year horizon for assessing the resilience of NBFC sector to credit risk shocks. While the baseline scenario was based on assumptions of business as usual, the medium and severe risk scenarios were derived by applying 1 SD and 2 SD shocks, respectively, to GNPA ratio. 2.62 Under the baseline scenario, the system-level GNPA ratio of the sample NBFCs may rise from 2.3 per cent in September 2025 to 2.9 percent in September 2026. Consequently, their aggregate CRAR may dip from 22.8 per cent to 21.7 per cent during the same period (Chart 2.29). Under the baseline scenario, 8 NBFCs may breach the minimum regulatory capital requirement of 15 per cent. Under the medium and severe stress scenarios, income loss and additional provisioning requirements may further reduce the aggregate CRAR by additional 58 bps and 75 bps, respectively. Under both the medium and severe stress scenarios, 11 NBFCs may not be able to meet the regulatory minimum CRAR. II.3.2 Stress Test36 – Concentration Risk 2.63 Stress test on NBFCs’ credit concentration showed that in the extreme scenario of the top three individual borrowers of respective NBFCs defaulting37, the system level CRAR would decline by 223 bps (Chart 2.30 a) and an additional 9 NBFCs would face a situation of a drop in CRAR below the regulatory minimum of 15 per cent. 2.64 Under the extreme scenario of the top three group borrowers in the standard category failing to repay38, the system level CRAR would decline by 243 bps. Additional 8 NBFCs would witness a drop in CRAR below the regulatory minimum of 15 per cent (Chart 2.30 b). II.3.3 Stress Test39 – Liquidity Risk 2.65 The resilience of the NBFC sector to liquidity shocks was assessed by estimating the impact of assumed increase in cash outflows coupled with decline in cash inflows40 on liquidity. The results revealed that the number of NBFCs which may experience negative cumulative liquidity mismatch of over 20 per cent in the next one year would be 3, 4 and 7 under the three scenarios, respectively (Table 2.8). II.4 Stress Testing of Mutual Funds41 2.66 In November 2025, 18 open-ended debt schemes with total assets under management (AUM) of ₹1.68 lakh crore breached the AMFI or AMC prescribed threshold (Table 2.9). However, all the MFs have either cured the breach or reported initiation of remedial action to complete the same within the prescribed timeframe. 2.67 The liquidity ratios - redemption at risk (LR-RaR42) and conditional redemption at risk (LR-CRaR43) under the stress tests by top 10 AMCs (based on AUM) for 13 categories of open-ended debt schemes for September 2025 were mostly well above the respective threshold limits. A few instances of the ratios falling below the threshold limits were addressed by the respective AMCs in a timely manner (Chart 2.31). 2.68 Stress test results and liquidity analysis of midcap and smallcap equity schemes of all MFs, published by AMFI, revealed that in November 2025, the number of days to liquidate 25 per cent of the portfolio for the top 5 schemes (in terms of AUM) ranged from 4 to 22 days for midcap schemes and 12 to 36 days for smallcap schemes (Table 2.10). II.5 Stress Testing Analysis at Clearing Corporations44 2.69 Stress testing was carried out at clearing corporations (CCs) in the Indian securities market to determine the segment-wise minimum required corpus (MRC) of the core settlement guarantee fund (Core SGF). Stress test analysis for the period April 2025 to November 2025 indicated that the actual MRC requirement remained the same for most of the segments, except for the commodity derivatives segment wherein the requirement increased for CCs 1 and 3 and equity derivatives segment wherein the requirement increased for CCs 2 during the period (Table 2.11). II.6 Financial Network and Contagion Analysis 2.70 Interconnections among financial institutions stem from funding relationships, liquidity mismatches and maturity transformation, payment and settlement processes and risk transfer mechanisms. The financial system can be visualised as a network where financial institutions act as nodes and the bilateral exposures among them serve as links connecting these nodes. These links could be in the form of loans to, investments in, or deposits with each other, which act as a source of funding, liquidity, investment and risk diversification. While these links enable gains in efficiency and diversification of risks, they can become conduits of risk transmission and amplification in a crisis. Understanding the nuances in propagation of risks through these networks is useful for devising appropriate policy responses for safeguarding financial and macroeconomic stability. II.6.1 Financial System Network 45 46 2.71 The total outstanding bilateral exposures47 among the select 282 entities expanded at a growth rate of 20.1 per cent in September 2025. SCBs continued to hold the largest share (42.6 per cent) in the network followed by NBFCs (16.6 per cent) and AMC-MFs (14.9 per cent) (Chart 2.32 a and b). 2.72 The interconnections of AIFIs, NBFCs, HFCs and AMC-MFs are skewed towards SCBs revealing bank-led interconnectedness in the financial system. AIFIs are very closely connected to SCBs through both liabilities and assets (Chart 2.32 c). 2.73 Loans and advances, capital/ equity investments and long-term (LT) debt instruments remained the leading instruments in bilateral exposure (Chart 2.33). Long-term (LT) funding out of these instruments continued to dominate with around 66.0 per cent share in the total bilateral exposures as at end-September 2025. The share of loans and advances decreased year-on-year while that of equity and short-term (ST) loans increased moderately. 2.74 In terms of inter-sectoral exposures48, AMC-MFs, insurance companies and PSBs remained the largest fund providers in the system while NBFCs, PVBs and HFCs were the largest receivers of funds. Among bank groups, PSBs, UCBs and FBs had net receivable positions whereas PVBs and SFBs had net payable positions (Chart 2.34). 2.75 The net receivable and net payable positions of all leading fund providers and receivers, except PVBs, increased in September 2025 over a year ago (Chart 2.35). a. Inter-Bank Market 2.76 Inter-bank exposures as percent of the total assets of the banking system fell a bit in the last two quarters and stood at 3.3 per cent, along with similar decline in fund-based exposures49 while non-fund-based exposures50 remained steady (Chart 2.36 a). 2.77 PSBs’ dominance in the inter-bank market increased during the quarter ended September 2025 to 60.4 per cent share while the share of PVBs witnessed corresponding decrease, reversing the trend in recent quarters (Chart 2.36 b). 2.78 Dominance of ST funding increased to 79 per cent of the fund-based inter-bank market as at end-September 2025 compared to 77 per cent at end-March 2025. At the sub-components level, ST deposits and ST loans constituted more than 70 per cent of ST funds while LT loans and LT debt comprised a major share of LT funds. (Chart 2.37 a and b). b. Inter-Bank Market: Network Structure and Connectivity 2.79 The interconnections between entities in the inter-bank market network was highly skewed, with majority of banks having few links and a few banks having many links, as reflected by the typical core-periphery network structure51 52. As of end-September 2025, four banks were in the inner-most core and six banks were in the mid-core circle, consisting of PSBs and PVBs (Chart 2.38). 2.80 The degree of interconnectedness among SCBs, measured by the connectivity ratio53, decreased marginally as at end-September 2025 and the local interconnectedness in terms of the cluster coefficient54 also decreased (Chart 2.39). c. Exposure of AMC-MFs 2.81 Gross receivables of AMC-MFs, the largest fund providers, increased to ₹23.27 lakh crore in September 2025, from ₹20.68 lakh crore in March 2025, against their gross payables of ₹1.79 lakh crore. SCBs (primarily PVBs) remained the major recipients of funds from AMC-MFs, followed by NBFCs, AIFIs and HFCs (Chart 2.40 a). 2.82 More than half of the funding by the AMC-MFs continued to be in form of equity holdings. Funding through CDs, LT debt and CPs marginally decreased over the positions a year ago (Chart 2.40 b). d. Exposure of Insurance Companies 2.83 With gross receivables at ₹12.85 lakh crore against gross payables at ₹1.25 lakh crore, insurance companies were the second largest net providers of funds to the financial system as at end-September 2025. SCBs (primarily PVBs) were the largest recipients of their funds, followed by NBFCs and HFCs. 2.84 Insurance companies provided funds mostly though LT debt and equity, accounting for 88 per cent of receivables, with limited exposure to ST instruments (Charts 2.41 a and b). e. Exposure to NBFCs (Non-HFCs) 2.85 NBFCs (Non-HFCs) were the largest net borrowers of funds from the financial system, with higher gross payables at ₹24.25 lakh crore against gross receivables at ₹2.94 lakh crore as at end-September 2025. More than half of their funds continued to be sourced from SCBs, followed by insurance companies and AMC-MFs (Chart 2.42 a). 2.86 LT loans and LT debt continued to be the preferred mode of funding for NBFCs (Non-HFCs). The share of ST funding instruments (ST loans and CPs) also increased during the same period (Chart 2.42 b). f. Exposure to HFCs 2.87 HFCs, the third largest net borrowers, had gross payables at ₹7.21 lakh crore against gross receivables of ₹0.19 lakh crore in September 2025. SCBs continued to be the top fund providers although their share was seen to increase with corresponding decrease in funding from AMC-MFs and insurance companies. About 74.5 per cent of HFCs’ funds was sourced through LT loans and LT debt instruments (Chart 2.43 a and b). g. Exposure of AIFIs 2.88 With gross payables and receivables at ₹10.02 lakh crore and ₹7.85 lakh crore, respectively, AIFIs were both active borrowers and lenders in the financial system and had net payables position of around ₹2 lakh crore in September 2025. While the AIFIs raised funds mainly from SCBs, AMC-MFs and insurance companies, they were observed to lend to SCBs predominantly (78.7 per cent in September 2025). (Chart 2.44 a and b). II.6.2 Contagion Analysis 2.89 Contagion analysis uses network technology to estimate the systemic importance of different financial institutions. The failure of a bank due to solvency and/ or liquidity losses would lead to contagion impact on the banking system along with the financial system. The failure of the bank would depend on the initial capital and liquidity position along with the number, nature (whether it is a lender or a borrower) and magnitude of the interconnections that it has with the rest of the banking system. a. Joint Solvency55 – Liquidity56 Contagion Impact on SCBs due to Bank Failure 2.90 A contagion analysis of the banking network as at the end-September 2025 position indicated that if the bank with the maximum capacity to cause contagion losses failed, it would cause a solvency loss of 2.3 per cent (as compared to 3.4 per cent in March 2025) of the total Tier 1 capital of SCBs and a liquidity loss of 0.4 per cent (0.3 per cent in March 2025) of the total HQLA of the banking system. (Table 2.12). b. Solvency Contagion Impact on SCBs due to NBFC/ HFC Failure 2.91 NBFCs (Non-HFCs) and HFCs are among the largest borrowers of funds from the financial system, with a substantial part of funding from banks. Therefore, failure of any NBFC or HFC would act as a solvency shock to their lenders which can spread through contagion. 2.92 As at end-September 2025, the hypothetical failure of the NBFC with the maximum capacity to cause solvency losses to the banking system would have knocked off 3.0 per cent (2.9 per cent in March 2025) of the latter’s total Tier 1 capital and hypothetical failure of such top HFC would have knocked off 3.6 per cent (3.7 per cent in March 2025) (Tables 2.13 and 2.14). However, in both the cases, it would not lead to any bank falling short in maintaining regulatory minimum capital. 2.93 Further, in terms of the impact and vulnerability metrics developed for identification of the impactful and vulnerable bank, one bank was found to be both impactful and vulnerable in September 2025. c. Solvency Contagion Impact after Macroeconomic Shocks to SCBs 2.94 On the application of the hypothetical stress scenarios considered under the macro stress test57, the capital gain(-)/ loss(+) at aggregate level stood at (-) 0.6 per cent, 12.6 per cent and 15.5 per cent of Tier I capital under the baseline, adverse scenario 1 and adverse scenario 2, respectively. Each of the banks would be able to maintain the Tier 1 capital ratio of 7 per cent under all three scenarios. Consequently, there would be no additional solvency losses to the banking system due to contagion (over and above the initial loss of capital due to the macro shocks) (Chart 2.45). 2.95 India’s insurance sector remains a systemically significant component of the financial system owing to its scale, investment footprint, and interconnectedness. Moreover, it facilitates risk transfer and mobilisation of long-term savings. II.7.1 Premium Profile 2.96 Total premium income grew to ₹11.9 lakh crore in 2024-25 from ₹8.3 lakh crore in 2020-21, reflecting consistent market expansion and stable financial intermediation capacity. However, total insurance premium masks a significant growth moderation, as the growth rates for both life and non-life sectors have slowed sharply (Chart 2.46 a and c). This deceleration suggests that the post-COVID demand surge for risk mitigation may have subsided. At a sectoral level, the life (protection and savings) sector exhibits a high concentration risk, while the non-life sector has undergone a structural shift, with health emerging as the leading segment (Chart 2.46 b and d). Furthermore, product concentration in both life and non-life sectors indicates limited progress in diversification. II.7.2 Assets under Management (AUM) 2.97 Total AUM of the insurance sector reached ₹74.4 lakh crore as on March 31, 2025 with life insurers accounting for 91 per cent of total investments, underscoring the sector’s deepening financial footprint and its growing significance as a primary institutional investor in the economy. The investment portfolio remains structured, with around 59 per cent in government securities and 30 per cent in approved investments (Chart 2.47 a and b). As regards asset allocation, sovereign debt continue to be dominant. However, in a competitive financial landscape, this conservative allocation creates challenges in consistently meeting policyholders’ reasonable expectations, potentially reducing the attractiveness of long-term insurance savings products relative to other financial instruments offering superior risk-adjusted returns. The heavy reliance on sovereign debt also reflects structural limitations within the domestic financial markets rather than discretionary caution. The stagnation in non-government investment shares suggests a shortage of “quality paper”—specifically high-rated, long-duration corporate bonds that match insurers’ liability profiles. II.7.3 Insurance Penetration and Density58 2.98 Insurance density (premium per capita) shows a steady increase from US$ 78 in 2020-21 to US$ 97 in 2024-25 reflecting rising absolute spending on insurance by households and firms. In contrast, the simultaneous fall in penetration (premium as percentage of GDP) indicates that income and output are growing faster. The share of insurance in overall economic activity not increasing commensurately underscores the need for broadening inclusion through product innovation, distribution reforms and demand side measures. (Table 2.15). II.7.4 Market structure and concentration 2.99 The life insurance sector remains highly concentrated (top-5 life insurers – 82 per cent), with the largest insurer retaining a dominant share of business, while private life insurers have steadily expanded their presence. The concentrated structure of the life insurance market anchors investors for long-term government securities but creates concentration risk as distress in any of the major players could have broad market effects. The non-life sector is more diversified, though public sector entities continue to hold a meaningful share (Chart 2.48 a and b). II.7.5 Settlement of Claims 2.100 Total benefits paid by life insurers have registered a significant upward trajectory, rising from around ₹4 lakh crore in 2020-21 to ₹6.3 lakh crore in 2024-25. The composition of benefits signals a concerning shift from scheduled maturities to unscheduled exits. The rising proportion of surrenders and withdrawals poses a potential risk to asset liability management. (Chart 2.49 a and b). 2.101 The net incurred claims by non-life insurers have registered a consistent and significant upward trajectory, escalating from approximately ₹1.1 lakh crore in 2020-21 to nearly ₹1.9 lakh crore in 2024- 25. The composition of claims underscores the dominance of two critical retail segments: health and motor. Together, they account for approximately 85 per cent of the total net incurred claims throughout the 2020-21 to 2024-25 periods (Chart 2.50 a and b). Medical cost escalation and rising claim frequency of health segment, and higher vehicle repair costs and claim awards of motor segment are putting significant pressure for premium enhancements to maintain underwriting stability. II.7.6 Expenses 2.102 A distinct divergence in cost efficiency is evident between public and private life insurers. Public life insurers show a strong focus on expense management and potentially lower acquisition costs underlined by flat commission structure despite growing premiums. In contrast, private life insurers show a steep increase in commission pay-outs particularly surging from 2022-23 onwards indicating business acquisition at higher marginal cost. Their operating expenses have also remained higher and sticky (Chart 2.51 a and b).
2.103 In the non-life sector, public insurers demonstrate a stable but high expense base. While their premiums have grown steadily, operating expenses spiked in 2022-23 before moderating, and commission costs have remained low and flat, reflecting their reliance on established, lower-cost distribution channels. Conversely, private non-life insurers exhibit a more aggressive cost-growth dynamic. Their commission expenses have escalated sharply. This points to a high-cost distribution-led growth strategy, potentially impacting underwriting margins (Chart 2.52 a and b). II.7.7 Reinsurance 2.104 Total volume of reinsurance ceded by general and health insurers have expanded significantly from approximately ₹58,900 crore in 2020-21 to around ₹86,300 crore in 2024-25. This risk transfer accompanies a notable structural shift in placement of reinsurance. While the absolute amount ceded “Within India” has grown by 1.3 times from roughly ₹44,900 crore to ₹57,000 crore, reinsurance ceded “Outside India” has more than doubled, rising from around ₹14,000 crore in 2020-21 to over ₹29,000 crore in 2024-25. (Chart 2.53).
2.105 This growing reliance on cross-border reinsurance suggests that the domestic market’s capacity may not be keeping pace with the specialized or large-scale risk transfer needs of Indian insurers, necessitating greater recourse to global markets. Strengthening domestic reinsurance capabilities through regulatory incentives or new entrants may help retain more premium within the national financial ecosystem, reduce the sector’s vulnerability to external rate hardening, and mitigate the pressure on the balance of payments.
II.7.8 Profitability 2.106 Public life insurers demonstrate a robust and consistent upward trajectory, with investment income growing steadily while that of private insurers exhibit significant volatility. The public insurers saw their profit after tax (PAT) leap from a modest ₹2,901 crore in 2020-21 to ₹36,397 crore in 2022-23 driven predominantly by a one-time transfer and the private insurers, while consistently profitable, show much more modest growth. (Chart 2.54 a and b). 2.107 The non-life sector saw lower profitability, as underwriting losses persisted across most segments. Nonetheless, private insurers have demonstrated robust and growing profits, successfully leveraging investment returns to offset underwriting deficits. (Chart 2.55 a and b). II.7.9 Equity Share Capital 2.108 The life insurance sector has witnessed a sustained, albeit fluctuating, expansion in its equity base while the non-life insurance sector demonstrates a more linear and aggressive capital fortification trend. Overall, comparing the two sectors reveals a convergence in total equity capital levels by 2024-25, with both sectors hovering around the ₹40,000–₹43,000 crore mark (Chart 2.56 a and b). II.7.10 Solvency 2.109 The life insurance sector’s linear improvement offers a higher degree of predictability and resilience, whereas the non-life insurance sector’s capital position appears more sensitive to quarterly operational and market shifts. The solvency ratio of the life insurance sector has steadily grown from 2.01 in Q2:2024-25 to 2.15 by Q1:2025-26, reflecting a clear trend of capital accumulation. This continuous improvement, with the ratio remaining comfortably above the regulatory threshold of 1.50, indicates that life insurers are prioritizing balance sheet fortification alongside business growth (Chart 2.57 a).
2.110 The solvency ratio in the non-life insurance sector, rebounded during the period under review after a dip in Q3:2024-25, providing. adequate coverage above the regulatory minimum. However, occasional volatility warrants continued monitoring of capital adequacy relative to risk exposure (Chart 2.57 b). 2.111 Overall, the insurance sector continues to display balance sheet resilience, supported by adequate capital buffers, steady capital accretion and solvency ratios that remain above prescribed regulatory thresholds at the aggregate level. The GST exemption introduced in September 2025 for all individual life and individual health insurance policies is likely to strengthen the sector’s premium-generation trajectory, providing insurers with a larger pool of long-duration liabilities that can be channelled into sovereign and infrastructure assets. Moreover, the enactment of Sabka Bima Sabki Raksha Act, 2025 and increase in FDI limit to 100 per cent are expected to transform the sector.
II.7.11 Emerging Areas of Stress 2.112 While posing no near-term systemic risks, the surface-level stability masks emerging structural pressures that could weigh on medium-term sustainability and coverage expansion. 2.113 A primary pressure is the persistence of a high expense structure, particularly the acquisition costs. Premium growth has been increasingly driven by high-cost distribution-led strategies rather than operating efficiency. In non-life sector, commission growth has significantly outpaced other operating expenses. While in life sector, frontloaded acquisition costs limited the extent to which scale efficiencies are passed on to policyholders. Furthermore, expected benefits from digitisation remain unrealised. 2.114 Underwriting outcomes are impacted adversely. In non-life sector, high acquisition costs and claims inflation contribute to persistent underwriting losses, increasing reliance on investment income and diluting technical pricing discipline. In life sector, front-loaded expenses compress early policy value, leading to higher surrenders and weaker persistency. These trends add uncertainty to liability profiles and cash flows, even as solvency remains comfortable. 2.115 A meaningful expansion of coverage is also constrained by the high expense structures. With high distribution costs embedded in pricing, affordability is reduced, leading to a divergence between insurance density and penetration. Growth largely reflects higher spending by existing policyholders rather than a broadening of the insured base. 2.116 From a financial stability perspective, continuously elevated expenses could weaken profitability buffers and amplify cyclical vulnerabilities. A reorientation towards cost rationalisation, aligning intermediary incentives with persistency and value to policyholders, and wider adoption of technology-enabled low-cost distribution models is essential. Supported by regulatory initiatives like risk-based capital framework, enhanced disclosures, and strengthened market conduct standards, a sustained moderation in expense intensity would improve consumer value, reinforce the sector’s long-term resilience, and facilitate transition from the current “high-cost, low-inclusion” to “affordable-cost, broad inclusion and high quality” equilibrium. 1 Analyses are mainly based on data reported by banks through RBI’s supervisory returns covering only domestic operations of SCBs, except in the case of data on large borrowers, which are based on banks’ global operations. SCBs include public sector banks, private sector banks, foreign banks and small finance banks. 2 The analyses are based on the provisional data available as of December 10, 2025. 3 Private sector banks’ data for September 2023 quarter onwards are inclusive of the merger of a large housing finance company with a private bank and, the data may not be comparable to past periods before the merger (applicable for all charts and tables). 4 Personal loans refer to loans given to individuals and consist of (a) consumer credit, (b) education loan, (c) loans given for creating/ enhancement of immovable assets (e.g., housing, etc.) and (d) loans given for investment in financial assets (shares, debentures, etc.) 5 Write-off ratio is defined as the ratio of write-offs to GNPAs. Write-offs include technical/ prudential write-offs and compromise settlement and may be subject to future recovery. 6 A large borrower is defined as one who has aggregate fund-based and non-fund-based exposure of ₹5 crore and above with any bank. This analysis is based on SCBs’ global operations. 7 Special mention account (SMA) is defined as a) Loans in the nature of revolving facilities like cash credit/ overdraft: if outstanding balance remains continuously in excess of the sanctioned limit or drawing power, whichever is lower, for a period of 31-60 days - SMA-1 ;61-90 days - SMA-2. b) Loans other than revolving facilities: if principal or interest payment or any other amount wholly or partly overdue remains outstanding up to 30 days - SMA-0; 31-60 days - SMA-1; 61-90 days - SMA-2. 8 Tier I leverage ratio is the ratio of Tier I capital to total exposure. 9 Liquidity coverage ratio is defined as the ratio of stock of high-quality liquid assets (HQLA) to the total net cash outflow over the next 30 calendar days. 10 Net stable funding ratio is defined as the ratio of available net stable funding to required net stable funding. 11 Based on assumption of stringent adverse shocks to macroeconomic variables and the values are derived by performing simulations using a Vector Autoregression with Exogenous variables (VARX) model. 12 Detailed methodology is provided in Annex 1. 13 Single factor sensitivity analyses are conducted for a sample of 46 SCBs accounting for 99 per cent of the total assets of SCBs (excluding RRBs). The shocks designed under various hypothetical scenarios are extreme but plausible. 14 The SD of the GNPA ratio is estimated by using quarterly data for the last 10 years. 15 In the case of default, the individual borrower in the standard category is considered to move to the sub-standard category. 16 In terms of total funded amount outstanding, as reported under CRILC. 17 CR-100 ratio is the proportion of credit outstanding with the top 100 borrowers to the total outstanding credit of SCBs. 18 CCRI is an index (ranging between 0 and 1) that measures the distribution of impact of the top 100 borrowers on the aggregate capital of all SCBs. This novel metric was introduced in the FSR June 2025 (Box 2.1). 19 Prior period consistency and comparability may be limited as historical data has not been recast using the updated accounting standards. 20 The analysis in this portion is restricted to investments in India by the domestic operations of SCBs. Only interest rate related instruments for HTM, AFS and FVTPL (including HFT) portfolios and both interest and non-interest related investments for “Investment in Subsidiaries, Associates and Joint Ventures” are taken into account. 21 PV01 is a measure of sensitivity of the absolute value of the portfolio to a one basis point change in the interest rate. 22 RBI circular no. RBI/2013-14/635 DBOD.BP.BC.No.120/21.04.098/2013-14 dated June 09, 2014, on “Basel III Framework on Liquidity Standards – Liquidity Coverage Ratio (LCR), Liquidity Risk Monitoring Tools and LCR Disclosure Standards”. 23 The stress scenarios are described in Annex 1. 24 Stress tests on derivatives portfolios are conducted by a sample of 36 banks constituting active authorised dealers and interest rate swap counterparties. Details of test scenarios are given in Annex 1. 25 Data are provisional and based on submission by UCBs through RBI supervisory returns. 26 Based on common sample of 1,389 UCBs covering over 90 per cent of gross loans extended by all UCBs. 27 Revised Regulatory Framework for Urban Co-operative Banks (UCBs) – Net Worth and Capital Adequacy (circular DOR.CAP.REC.No.86/09.18.201/2022- 23 dated December 01, 2022 and DOR.CAP.REC. No.109/09.18.201/2022-23 dated March 28, 2023). 28 The stress test is conducted with reference to the financial position of September 2025 for select 205 UCBs with asset size of more than ₹500 crore, excluding banks under the Reserve Bank’s All Inclusive Directions (AID). These 205 UCBs together cover around 72 per cent of the total assets of the UCB sector. The detailed methodology used for stress test is given in Annex 1. 29 The regulatory minimum CRAR for Tier 1 UCBs is 9 per cent and for the UCBs in Tier 2, Tier 3 and Tier 4 is 11 per cent. Further, UCBs in Tier 2, Tier 3 and Tier 4 shall achieve the CRAR of at least 12 per cent by March 31, 2026. 30 The analyses done in this section are based on the provisional data available for NBFCs in Upper Layer and Middle Layer excluding CICs, HFCs and SPDs, but includes companies presently under resolution as of September 22, 2025. Prior period consistency and comparability may be limited as NBFC data has been reclassified based on scale-based regulation. The effect of mergers and reclassifications, if any, has not been considered for recasting historical data. 31 For a common sample of NBFCs, the y-o-y growth rate was 14.7 per cent at end-September 2025 (14.6 per cent at end-March 2025). 32 For March 2025, the common set of NBFC-ULs consists of common NBFCs in Upper Layer in March 2024 and March 2025. Similarly for September 2025, the common set of NBFC-ULs consists of common NBFCs in Upper Layer in September 2024 and September 2025. 33 For March 2025, the common set of NBFC-MLs consists of NBFCs in Middle Layer in March 2024 and March 2025. Similarly for September 2025, the common set of NBFC-MLs consists of NBFCs in Middle Layer in September 2024 and September 2025. 34 The detailed methodology used for stress tests of NBFCs is provided in Annex 1. 35 The sample comprised of 174 NBFCs in the Upper Layer and Middle Layer with total advances of ₹30.74 lakh crore as of September 2025, which form around 95 per cent of total advances of non-Government NBFCs. The sample for stress tests excluded Government NBFCs, companies presently under resolution, stand-alone primary dealers and investment focused companies. 36 The detailed methodology used for stress tests of NBFCs is provided in Annex 1. 37 In the case of default, the individual borrower in the standard category is considered to move to the sub-standard category. 38 In the case of default, the group borrower in the standard category is considered to move to the sub-standard category. 39 The detailed methodology used for stress tests of NBFCs is provided in Annex 1. 40 Stress testing based on liquidity risk was performed on a sample of 261 NBFCs in the Upper Layer and the Middle Layer. The total asset size of the sample was ₹ 41.22 lakh crore, comprising around 99 per cent of total assets of non-government, non- CIC NBFCs in the sector. 41 The detailed methodology used for stress tests of Mutual Funds is provided in Annex 1. 42 Represents likely outflows at a given confidence interval. 43 Represents the behaviour of the tail at the given confidence interval. 44 Details on the conduct and methodology of the stress tests are given in Annex 1. 45 The network model used in the analysis has been developed by Professor Sheri Markose (University of Essex) and Dr. Simone Giansante (Bath University) in collaboration with the Financial Stability Department, Reserve Bank of India. 46 Number of entities under the analysis is increased to 282 (from 229 in last FSR June 2025) considering increasing size for more comprehensive analysis. The entities are from the following eight categories: [88 SCBs, 33 scheduled UCBs (SUCBs); 31 AMC-MFs (covering about 99 per cent of the total AUM of the domestic mutual fund industry); 52 NBFCs (both deposit taking and non-deposit taking systemically important companies, covering about 80 per cent of total NBFC assets); 36 insurance companies (covering around 98 per cent of assets of the sector); 26 HFCs (covering around 94 per cent of total HFC assets); 11 PFs and 5 AIFIs (NABARD, EXIM, NHB, SIDBI and NaBFID)]. 47 Bilateral exposures include exposures between entities of the same group. Exposures are outstanding position as on September 30, 2025 and are broadly divided into fund-based (viz., money market instruments, deposits, loans and advances, long-term debt instruments and equity investments) and non-fund-based exposure (viz., letter of credit, bank guarantee and derivatives instruments (excluding settlement guaranteed by CCIL)). 48 Inter-sectoral exposures do not include transactions among entities of the same sector in the financial system. 49 Fund-based exposures include both short-term exposures (covering data in seven categories – repos (non-centrally cleared); call money; commercial papers; certificates of deposits; short-term loans; short-term deposits and other short-term exposures) and long-term exposures (covering data in five categories – Equity; Long-term Debt; Long-term loans; Long-term deposits and Other long-term liabilities). 50 Non-Fund based exposures include - outstanding bank guarantees, outstanding Letters of Credit, and positive mark-to-market positions in the derivatives market (except those exposures for which settlement is guaranteed by the CCIL). 51 The diagrammatic representation of the network of the banking system is that of a tiered structure, in which different banks have different degrees or levels of connectivity with others in the network. The most connected banks are in the inner-most core (at the centre of the network diagram). Banks are then placed in the mid-core, outer core and the periphery (concentric circles around the centre in the diagram), based on their level of relative connectivity. The colour coding of the links in the tiered network diagram represents borrowings from different tiers in the network (for example, the green links represent borrowings from the banks in the inner core). Each ball represents a bank and they are weighted according to their net positions vis-à-vis all other banks in the system. The lines linking each bank are weighted on the basis of outstanding exposures. 52 77 SCBs, 11 SFBs and 33 SUCBs were considered for this analysis. 53 The Connectivity ratio measures the actual number of links between the nodes relative to all possible links in a complete network. 54 Cluster Coefficient: Clustering in networks measures how interconnected each node is. Specifically, there should be an increased probability that two of a node’s neighbours (banks’ counterparties in case of the financial network) are also neighbours themselves. A high cluster coefficient for the network corresponds with high local interconnectedness prevailing in the system. 55 In solvency contagion analysis, gross loss to the banking system owing to a domino effect of hypothetical failure of one or more borrower banks is ascertained. Failure criterion for contagion analysis has been taken as Tier 1 capital falling below 7 per cent. 56 In liquidity contagion analysis, a bank is considered to have failed when its liquid assets are not enough to tide over a liquidity stress caused by the hypothetical failure of large net lender. Liquid assets are measured as: 18 per cent of NDTL + excess SLR + excess CRR. 57 The contagion analysis used the results of the macro-stress tests and made the following assumptions: (a) The projected losses under a macro scenario (calculated as reduction in projected Tier 1 CRAR, in percentage terms, in March 2027 with respect to the actual value in September 2025) were applied to the September 2025 capital position assuming proportionally similar balance sheet structures for both September 2025 and March 2027. (b) Bilateral exposures between financial entities are assumed to be similar for September 2025 and March 2027. 58 Insurance Penetration is the ratio of total insurance premiums (Life and Non-Life combined, unless specified otherwise) to a country’s Gross Domestic Product (GDP), expressed as a percentage. Insurance Density is the average per capita spending on insurance, calculated as total insurance premiums (Life and Non-Life combined, unless specified) divided by the total population of the country. |
Annex 2: Important Domestic Regulatory Measures
|
1. Reserve Bank of India (RBI)
2. Securities and Exchange Board of India (SEBI)
3. Insurance Regulatory and Development Authority of India (IRDAI)
4. Pension Fund Regulatory and Development Authority (PFRDA)
5. Insolvency and Bankruptcy Board of India (IBBI)
6. International Financial Services Centres Authority (IFSCA) Date Regulation
|
Chapter I: Macrofinancial Risks
|
Global growth has been resilient, supported by fiscal measures, front-loaded trade, and strong AI-related investment, but downside risks persist due to high public debt, elevated asset valuations, and rising financial vulnerabilities. The Indian economy continues to grow strongly supported by robust domestic demand, easing inflation, and prudent macroeconomic policies. Though the economy and the financial system remain stable, external uncertainties and global market volatility could pose near-term vulnerabilities. Strong buffers, nonetheless, enhance the economy’s ability to withstand adverse shocks. Introduction 1.1 The global economy and the financial system have proven more resilient than anticipated since the June 2025 Financial Stability Report (FSR), despite elevated policy uncertainty, persistent geopolitical tensions, and growing trade fragmentation. Global financial markets remain upbeat, with equity markets in particular scaling new peaks driven by optimism about artificial intelligence (AI) and strong corporate earnings. 1.2 The apparent resilience and risk-on sentiment, however, mask key vulnerabilities that have global financial stability implications. They include, but are not limited to, the risk of a sharp market correction amid stretched valuations, high and rising public debt, the expanding role of non-bank financial intermediaries and their deepening interconnectedness with banks, risks in the private credit market, and the rapid growth of stablecoins (see Special Feature on ‘Financial Stability Implications of Stablecoins’). The disconnect between uncertainty and volatility also remains wide (Chart 1.1). Overall, global financial stability risks stay elevated even as the world economy is exhibiting both resilience and fragility. 1.3 Against the backdrop of incessant global headwinds, the Indian economy is growing at a robust pace, driven by strong domestic demand. Alongside, a sharp moderation in inflation, commitment to fiscal consolidation and prudent macroeconomic policies are strengthening the resilience of the economy (Chart 1.2). The domestic financial system also remains resilient, bolstered by healthy balance sheets of bank and non-bank lenders, easy financial conditions and low volatility in financial markets (Chart 1.3). 1.4 There are, however, a few near-term risks to the Indian economy despite sound macroeconomic fundamentals and robust growth-inflation dynamics. Prominent among them are external uncertainties, further escalation in geopolitical and trade tensions and widening geoeconomic fragmentation. They could lead to higher volatility in exchange rate, weaker trade, lower corporate earnings and muted foreign direct investments. From a financial stability perspective, a sudden and sharp correction in the United States (US) equity market could cause a correction in domestic equities, affect investor confidence and wealth, trigger foreign portfolio outflows and tighten domestic financial conditions. 1.5 Importantly, the economy and the financial system have adequate buffers in terms of strong domestic growth drivers, sizeable foreign exchange reserves, and sufficient capital and liquidity buffers in the financial and corporate sectors to withstand adverse shocks. Moreover, the aggregate stress level in the Indian financial system, as indicated by the financial system stress indicator (FSSI), remains relatively low (Chart 1.4). 1.6 Against this backdrop, this chapter is structured into five sections. Section I.1 discusses evolving international and domestic macroeconomic developments and their implications for the near-term economic outlook. Section I.2 analyses key trends and financial conditions across equity, bond and foreign exchange markets, while Section I.3 provides an assessment of corporate and household sector vulnerabilities. Sections I.4 and I.5 examine the stability of the banking and non-bank financial sectors, respectively. The chapter also includes a special feature on stablecoins and its implications for financial stability. I.1.1 Global Outlook 1.7 Global growth has surprisingly held up better than expected amid the US government’s decision to impose tariffs on most of its trading partners and prolonged global economic and trade policy uncertainties. A combination of front-loading of trade, alacrity in finalising bilateral trade deals, some fiscal expansion, limited impact of tariffs on inflation, and huge AI-related investments has contributed to global growth resilience. Accordingly, the International Monetary Fund (IMF) revised its 2025 global growth projection upwards relative to its April 2025 forecast – from 2.8 per cent to 3.2 per cent. 1.8 Even as global growth has been steady, risks to the outlook in 2026 remain tilted to the downside (Chart 1.5). In the near-term, there are risks from further escalation in geopolitical tensions and trade barriers, prolonged policy uncertainty and AI not delivering its promise of a transformational economic impact. These risks, alongside fiscal vulnerabilities stemming from elevated levels of public debt and a disorderly market correction, could dampen consumption and investment, and lower global growth (Chart 1.6). 1.9 Fiscal strains in advanced economies (AEs) are likely to continue as borrowing needs remain well above the pre-pandemic levels, with no signs of a meaningful reversal. Rising interest expenses, growing healthcare costs from demographic shifts and higher defense spending have contributed to higher long-term borrowing costs. This is also reflected in the widening of swap spreads1, signalling a lack of appetite among investors for long-term sovereign exposure as well as a premium they require to invest (Chart 1.7). In the US, this is seen notwithstanding the increasing reliance on short-term issuances to finance the majority of incremental borrowing. 1.10 Increase in risk appetite alongside easy financial conditions and abundant liquidity is driving the prices of risk assets and gold, which is traditionally seen as a hedge against risk and uncertainty, to lofty levels (Chart 1.8 a). Emerging markets (EM) have also been a beneficiary of risk-on sentiment among investors, with both equity and debt flows remaining positive for most of the year (Chart 1.8 b). A sharp correction in asset prices, however, could be amplified by shifting asset correlations, leading to fire sales across market segments. I.1.2 Domestic Outlook 1.11 Domestic economic activity remained robust despite an unfavourable global backdrop. The real gross domestic product (GDP) growth surprised on the upside in both Q1:2025-26 and Q2:2025-26 at 7.8 per cent and 8.2 per cent, respectively, supported by strong private consumption and public investment (Chart 1.9). 1.12 Growth outlook remains positive, aided by low inflation, easy financial conditions, above normal monsoon, direct and indirect tax reforms, and the ongoing expansion of digital public infrastructure. This is also reflected in the upward revision of India’s growth forecast by multilateral agencies such as the IMF, the Organisation for Economic Co-operation and Development (OECD) and the World Bank. The RBI has also revised its forecast for real GDP growth for 2025-26 upwards from 6.8 per cent to 7.3 per cent (Chart 1.10). Spillovers from geopolitical and trade tensions and a sell-off in global financial markets pose downside risks to the growth outlook. 1.13 India’s fiscal dynamics remain healthy, supported by sustained improvement in the quality of spending with higher allocation for capital expenditure and commitment to fiscal consolidation. This was reflected in the S&P Global Ratings upgrade of India’s sovereign rating from ‘BBB-’ to ‘BBB’ in August 2025. Moreover, India’s debt remains sustainable because of the favourable interest rate-growth rate differential, the low level of foreign currency liabilities, the high average maturity of the debt portfolio, and very low level of floating-rate liabilities, together mitigating rollover and currency risks. 1.14 The weighted-average maturity (WAM) of outstanding debt and annual issuances of both central and state government debt have risen (Chart 1.11 a and b), and the yield curve has steepened (Chart 1.11 c). The share of interest payments has shown improvement (Chart 1.11 d). The steepness of the yield curve also illustrates that the embedded future forward rates are much higher (Chart 1.11 e). 1.15 The supply of Central Government Securities (G-Sec) and State Government Securities (SGS) has risen considerably, with net issuance of G-Sec and SGS in the current fiscal year outpacing last year.2 However, the demand for long-term sovereign debt among the largest investors, viz., scheduled commercial banks, insurance companies and pension funds has declined. Even as banks accumulate more SGS and scale back on G-Sec, insurance and pension funds have shown a shift towards equity exposure (Table 1.1 and 1.2). 1.16 The overall debt-to-GDP ratio remains at around 82 per cent. This is largely due to elevated state government debt. Moreover, committed expenditure of states at around one-third of revenue expenditure remains high, which is likely to keep their market borrowing elevated along with the yield on their debt (Chart 1.12). 1.17 External sector stability has been a key pillar of India’s overall macroeconomic stability. Despite a sequence of formidable external headwinds, the external sector has remained resilient. Although the current account deficit (CAD) has widened from 0.3 per cent of GDP in Q1:2025-26 to 1.3 per cent in Q2:2025-26, it remains eminently manageable with buoyant service exports and inward remittances expected to offset widening merchandise trade balance (Chart 1.13). 1.18 On the capital and financial accounts, net foreign direct investment (FDI) flows, after moderating in 2024-25 due to rising repatriation and outward FDI, have improved in H1:2025-26. Net portfolio investments have declined, driven by large equity outflows. India’s inclusion in global bond indices attracted sizeable bond inflows, offsetting some of the overall impact (Chart 1.14 a and b). Steady external commercial borrowings (ECB) and non-resident deposits also contributed to capital inflows, though these flows have moderated compared to last year. Overall, the financial account balance turned positive in H1:2025-26 (Chart 1.15). 1.19 Notwithstanding the uncertainty surrounding the trade outlook, India’s external vulnerability indicators remain robust and continue to show improvement. Foreign exchange reserves at US$ 693.3 billion, as on December 19, 2025, are sufficient to cover around 11 months of actual merchandise imports on a BoP basis; external debt stood at 19.2 per cent of GDP at end-September 2025; the share of short-term debt on residual maturity basis became more favourable at 44.4 per cent of foreign exchange reserves at end-September 2025; and net international investment position (IIP) also recorded improvement (Chart 1.16 a and b). I.2.1 Global Financial Markets 1.20 Since June 2025 FSR, despite persistent uncertainty around trade and economic policies and geopolitical tensions, risk-asset valuations have increased, volatility has declined, and credit spreads have compressed. Risk premia across a range of asset classes have tightened since the spike seen after the April 2025 tariff shock (Chart 1.17). Measures of equity valuations remain at the high end of the historical range, with stock prices of companies focused on AI particularly stretched and concentration within the stock index elevated (Chart 1.18 a, b, c and d). Consequently, the likelihood of outsized price declines has risen, and markets remain especially vulnerable if expectations about AI’s impact fade away. 1.21 The optimism around AI is also evident in Asian indices with big technology stocks driving most of the gains (Chart 1.19 a). A small number of stocks that are expected to benefit from AI now account for almost half of the returns in Hong Kong, South Korea and Taiwan, similar to the US (Chart 1.19 b). Thus, a major correction in US equities could become a global systemic risk, dragging down these markets with implications for equities in the region. 1.22 Another area of concern is the huge capital spending requirement to drive AI-related investments and their financing. So far, major firms have relied on their sizeable free cash flows to fund investments. However, with the spending on AI infrastructure estimated at trillions of dollars, debt financing has risen, and it is expected to increase substantially in the coming years (Chart 1.20 a). Moreover, there are complex circular financing structures between these firms that are also driving the credit boom in the AI sector. There are signs that the market is already making distinctions among firms, with those with relatively weaker financial positions seeing their spread over equivalent treasuries and credit default swap (CDS) spread widening (Chart 1.20 b and c). Financial stability risks could materially increase if there is a deeper correction in AI-driven asset prices. 1.23 The rally in equities, compression in credit spreads, low volatility and decline in short-term rates have contributed to generally easing financial conditions (Chart 1.21 a). Alongside, ample liquidity, despite quantitative tightening by central banks, has continued to drive flows into mutual funds and exchange-traded funds (ETFs) supporting a range of asset classes (Chart 1.21 b). Gold prices have surged, driven by robust investor flows into the ETFs, central bank diversification of their foreign exchange reserves and mounting fiscal concerns (Chart 1.21 c, d and e). In a sign of build-up in risk aversion, prices of crypto assets have fallen sharply from their record highs seen in the early part of the year (Chart 1.21 f). 1.24 Another potential source of vulnerability is the growth of private credit3. From a simple intermediation chain - where investors put money into a private credit fund or business development company (BDC) that then lends to businesses – the system has evolved in recent years into more complex chains that now include more leveraged institutions like banks and insurers.4 Since they are private in nature and unregulated, there is considerable opacity regarding the size and riskiness of the private credit industry. Moreover, bank lending to private credit vehicles has increased significantly (Chart 1.22 a and b).5 Thus, the interconnectedness between private credit and the broader financial system is increasing and the channels through which stress in private credit could transmit to the rest of the financial system are growing. 1.25 The growing footprint of hedge funds in the US treasury market, the largest and most liquid financial market in the world, along with their trading strategies, poses financial stability risks (see June 2025 FSR). Their holdings of treasury bills, notes, and bonds rose from 4.6 per cent of total treasuries in early 2021 to 10.3 per cent in the first quarter of this year, surpassing their pre-pandemic peak of 9.4 per cent.6 Moreover, their leverage remains elevated and continues to grow.7 During past episodes of stress, hedge funds have abruptly unwound large leveraged positions in relative value trading strategies that they undertook to arbitrage between cash and derivatives markets using repo funding (Chart 1.23 a, b and c). These leveraged trades continue to remain a source of vulnerability. 1.26 Stretched public finances could impart volatility in core bond markets as some of the major AEs are increasingly relying on short-term debt to meet their funding requirements (Chart 1.24 a). In the US, although short-term debt makes up only about 20 per cent of total government debt, it represents roughly 80 per cent of all Treasury issuances (Chart 1.24 b). Simultaneously, long-term yields and spreads are trending higher (Chart 1.24 c and d). This will increase rollover risk by forcing countries to frequently refinance their short-term debt, and it may also pressure central banks to keep interest rates low, potentially undermining monetary policy independence. I.2.2 Domestic Financial Markets 1.27 Domestic financial conditions have remained easy since the June 2025 FSR, supported by gains in equity prices and compression in credit spreads (Chart 1.25 a and b). Robust monetary policy transmission, especially in short-term markets, and surplus banking system liquidity have also helped ease financial conditions (Chart 1.25 c and d). Consequently, money market spreads have retreated from the highs seen in Q1:2025-26 (Chart 1.25 e), and issuance of commercial papers (CPs) and certificates of deposit (CDs) has risen (Chart 1.25 f).8 1.28 The sovereign yield curve steepened, driven by monetary easing and declining inflation expectations. Short-term rates continued to decline, tracking rate cuts by the RBI and easy liquidity conditions, whereas long-term yields remained under pressure due to persistent supply. Consequently, term spreads rose and remained elevated (Chart 1.26 a and b). Meanwhile, FPI flows to Indian government bonds, which saw a sharp rise following bond index inclusion last year, remained robust partly aided by the widening interest-rate differential between the US and India yields (Chart 1.26 c and d).9 1.29 The Indian rupee (INR) depreciated against the US dollar (USD), reflecting falling terms of trade due to the impact of tariffs and slowdown in capital flows (Chart 1.27 a and b). With the effective US tariff rate on India being the highest compared to its trading partners, the INR depreciated despite the broad weakening of the USD against other major and Asian currencies. The exchange market pressure index10 indicates the rising depreciation pressure on the INR (Chart 1.27 c). Importantly, the exchange rate has displayed wider trading range, which in turn has imparted higher volatility (Chart 1.27 d and e). Currency derivatives markets also point to the likelihood of increased volatility going forward as trade tensions continue to weigh on market sentiments. Risk reversal has moved to positive territory, signalling bearish near-term outlook on the Indian Rupee. (Chart 1.27 f). 1.30 Resource mobilisation through capital markets remained steady and grew by 3.3 per cent in H1:2025-26 compared to H1:2024-25 (Table 1.3), with almost two-thirds raised through debt and slightly above one-fourth through equity. The initial public offering (IPO) segment in the Indian equity market, which is vital not only for capital formation but also for bridging the demand-supply gap, remained one of the most active IPO destinations globally. Within this segment, the share of Offer for Sale (OFS), which accounted for 61.3 per cent of the IPO resource mobilisation in H1:2024-25, declined to 56.9 per cent in 2025-26 till November 2025, although on an absolute basis OFS has been steadily increasing (Chart 1.28 a and b). 1.31 Indian equity market performance has been modest compared to its emerging market peers this year, following a five-year period of outperformance since 2020 (Chart 1.29 a and b). Tepid corporate earnings growth amid relatively slow nominal GDP growth, higher valuations, sustained FPI outflows, adverse tariff outcomes, and depreciation in INR have weighed on equities’ modest performance (Chart 1.29 c). India’s relative performance has also been dragged down by limited AI-driven trades and a lower beta11 compared with other Asian markets (Chart 1.29 d). 1.32 Notwithstanding the relative underperformance of Indian equities, steady foreign investor outflows, and persistent global economic uncertainty, the Indian equity market has displayed remarkable resilience. Volatility remained subdued compared to other markets (Chart 1.30 a and b). Moreover, the impact of sharp corrections in the US markets, which have historically been outsized on Indian markets, has remained muted with recent data indicating reduced co-movement and declining beta of the Indian market with the US (Chart 1.30 c and d). The stability of the Indian equity market has been underpinned by strong demand from domestic institutional investors (DIIs). Their ownership of Indian stocks has not only surpassed that of foreign investors but also continues to grow (Chart 1.30 e and f). During the calendar year (till December 10, 2025), ₹7.4 lakh crore inflows from DIIs sharply outpaced ₹1.6 lakh crore outflows from foreign portfolio investors. 1.33 FPIs remained net sellers of Indian equities cumulatively for the fifth year in a row as India has been a relative underperformer vis-à-vis EM peers in terms of risk-adjusted dollar returns during the last two years. However, India has performed better over a longer-term horizon (Chart 1.31 a). Nonetheless, their influence on domestic equity movements has been diminishing, and even during risk events—such as the recent tariff shock—capital outflows have been lower compared to past stress episodes. (Chart 1.31 b). Analysis of historical risk-off events indicates that the resilience of the Indian equity market improved despite foreign investor selling pressures during identified episodes. Within the FPI categories, banks, investment advisors and unregulated funds have shown relatively higher sensitivity to global risk sentiment, recording larger outflows as a share of their AUC during stress episodes (Chart 1.31 c). Importantly, the decomposition of FPIs’ AUC shows that the changes in AUC have been primarily driven by valuation gains, which indicate that the recent outflows could be attributed to cyclical profit booking rather than structural shift in FPIs’ outlook for Indian equities (Chart 1.31 d). 1.34 Indian equities have been trading at a premium relative to other emerging markets. Recent market corrections, however, have narrowed the valuation gap bringing it closer to the 10-year average of 70 per cent from 100 per cent in September 2024 (Chart 1.32 a). Nonetheless, valuations have returned to the high end of the historical range with markets recovering from the tariff shock and trading near their lifetime highs (Chart 1.32 b). 1.35 The implied equity risk premium (ERP)12 demanded by investors, a key barometer of the price of risk in equity markets, has increased since September 2024 for all Nifty indices (Chart 1.33 a). Although, Nifty 50 cumulative returns since March 2022 have been primarily driven by earnings, returns of midcaps and smallcaps are driven more by compression of ERP13 than by earnings growth (Chart 1.33 b). Moreover, risk to earnings growth remains in an environment of relatively slow nominal GDP growth, with forward earnings per share (EPS) consensus estimates for Nifty 50 for 2025 and 2026 showing a decline (Chart 1.33 c and d). 1.36 An assessment of the impact of the recent U.S. tariffs on domestic equity market showed heterogenous responses in equity sectoral indices, both during the April and August 2025 episodes (Chart 1.34 a and b), even as broad market indices remained resilient. 1.37 Furthermore, an event-study analysis revealed that while aggregate Bank Nifty Index exhibited limited volatility around the liberation day announcement, there was substantial variation among individual bank stocks with those having higher exposure to trade-sensitive corporates recording larger negative returns (Chart 1.35). The dispersion of returns across other banks was narrower, highlighting that market reactions were not systemic, but concentrated among few tradeexposed banks. 1.38 Corporate debt market continued to witness growth, with net outstanding of bonds (listed and unlisted) increasing to ₹57.5 lakh crore as at end-November 2025. However, secondary market turnover remained low (Chart 1.36 a). AAA-rated companies continued to dominate the issuance even as issuance by firms rated below AA has increased (Chart 1.36 b). Listed private placements remained the preferred route for resource mobilisation led by NBFCs (Chart 1.36 c). More than 90 per cent of the bonds issued were fixed coupon bonds, with floating rate instruments largely linked to money market, government securities and equity-linked benchmarks (Chart 1.36 d). NBFCs and non-financial corporates remained the prime mobilisers of funds, whereas insurance companies and mutual funds remained the major providers in the listed corporate bond market category. Unlisted corporate bonds are mainly held by non-financial corporates and newer investment vehicles such as alternative investment funds (Chart 1.36 e and f). 1.39 Corporate bond spreads have remained stable, with AAA-rated bonds trading 80 to 100 basis points above similar-maturity government securities. Median spreads for AA and lower-rated borrowers in the primary market fell as a sign of improving risk appetite among investors (Chart 1.37 a and b). The upgrade-to-downgrade ratio, known as the credit ratio, also indicates an improving credit environment (Chart 1.37 c). 1.40 The assets under management (AUM) of the domestic mutual fund industry increased to ₹80.8 lakh crore, recording a 18.7 per cent growth (y-o-y) as at end-November 2025 (Chart 1.38). Out of the total AUM, ₹35.7 lakh crore were in equity schemes and ₹45.1 lakh crore in non-equity schemes.14 1.41 Robust inflows through systematic investment plans (SIPs) continued as H1:2025-26 recording a net contribution of ₹1.0 lakh crore, up by 63.4 per cent (y-o-y) and the number of outstanding SIP accounts, which sharply fell in April 2025, is also growing (Chart 1.39). The SIP AUM both as a share of the AUM of equity-oriented schemes and as a share of the total AUM of the domestic mutual fund industry has been increasing and currently stands at 54.4 per cent and 20.4 per cent as at end-November 2025, respectively, underlining the steady demand for equities exposure among retail investors. 1.42 Overall, however, equity-oriented schemes have seen a slowdown in net inflows in H1:2025- 26 - down 10.6 per cent compared to H1:2024-25. Amongst the schemes, the highest inflows were in small-cap funds, mid-cap funds and flexi-cap funds, while thematic funds saw moderating inflows visà- vis the previous period (Chart 1.40 a). Cumulative net inflows into open-ended debt schemes rose 12.9 per cent during the same period, with money market and liquid funds recording the highest inflows (Chart 1.40 b). 1.43 Flows to passive funds also slowed down by 7.9 per cent in H1:2025-26 compared to H1:2024-25, even though their AUM remained steady at 17 per cent of the total MF AUM (Chart 1.41 a). Inflows into ETFs and index funds were flat or declined, except for Gold ETFs, which surged 128 per cent year-onyear to a record US$ 2.9 billion in 2025 (Chart 1.41 b and c). Rising gold prices also increased demand for physical gold, which reached US$ 20 billion in value terms this year (Chart 1.41 d). I.3 Corporate and Household Sector I.3.1 Corporate Sector 1.44 Private non-financial corporate sector remained healthy, supported by steady profitability and sales as well as stable firm-level risk metrics amid trade related disruption. Sales growth of listed non-government non-financial companies (NGNF) improved to 8.0 per cent (y-o-y) during Q2:2025-26 from 5.5 per cent growth in the previous quarter (Chart 1.42 a), led by improvement in sales growth across all the major sectors.15 Operating profit rose by 8.3 per cent (y-o-y) during Q2:2025-26 (Chart 1.42 b) but remained flat sequentially from Q1:2025-26. 1.45 At the aggregate level, debt serviceability, as measured by the interest coverage ratio (ICR)16, and the proportion of vulnerable firms – those with ICR<=1 – and debt held by those firms broadly remained stable (Chart 1.43 a, b and c). At a disaggregated level, the ICR has moderated marginally across different enterprises, except for large firms (Chart 1.43 d). 1.46 The balance sheet analysis of listed NGNF companies indicated that the gradual decline of leverage in terms of both debt-to-total assets and debt-to-equity has continued (Chart 1.44 a).17 Fixed assets remained flat as a ratio of total assets although on an absolute basis they grew by 9.2 per cent (y-o-y) during H1:2025-26 as compared to 7 per cent in 2024-25 (Chart 1.44 b). The debt service ratio of non-financial sector remained below its historical average even as the weighted average lending rate has increased by 172 bps between March 2022 and March 2025. Moreover, corporate cash buffers remained substantial (Chart 1.44 c and d). I.3.2 Household Sector 1.47 Household debt stood at 41.3 per cent of GDP as at end-March 2025, marking a sustained increase compared to its 5-year average of 38.3 per cent. However, relative to most of the peer EMEs, India’s household debt remained lower (Chart 1.45 a and b). 1.48 Among broad categories of household borrowings18, non-housing retail loans extended mostly for consumption purposes continue to be the dominant segment, accounting for 55.3 per cent of total household borrowing from financial institutions as of September 2025 (Chart 1.46 a). Their share has risen over the years, with growth consistently surpassing that of housing loans, and agriculture and business loans (Chart 1.46 b). From a risk perspective, the share of better-rated customers, viz., prime and above, has increased both in terms of the outstanding amount and number of borrowers, indicating that the overall resilience of the household sector remains sound (Chart 1.47 a and b). 1.49 The decomposition of household borrowings shows a dominant share of loans taken for consumption purposes19 followed by asset creation20 and productive purposes21 (Chart 1.48 a). The growth rate of these loans has moderated (Chart 1.48 b). Risk profile of borrowers availing loans for consumption and productive purposes has shown improvement, with the share of prime and above borrowers in outstanding loans showing an increasing trend (Chart 1.49 a and b). 1.50 Personal loans formed 22.3 per cent of consumption purpose loans as at end-September 2025. The risk-tier migration matrix for personal loans shows that a higher percentage of borrowers retained their risk tier categories in the September 2024-2025 period than in the September 2023-2024 period. Near prime and prime borrowers saw higher upgrades while prime plus and super prime borrowers witnessed a higher share of downgrades, but a large part of these borrowers remained in the prime and above category (Table 1.4). 1.51 Net household financial savings improved to 7.6 per cent of GDP in Q4:2024-25 on account of rise in financial assets and stabilisation of liabilities, while stock of gross financial assets remained steady above 100 per cent of GDP (Chart 1.50 a and b). As per the latest data, growth in the financial wealth of households moderated, reflecting a correction in equity and investment funds (Chart 1.51 a and b). In terms of asset allocation, deposits and insurance and pension funds accounted for nearly 69.2 per cent of household financial wealth as at end-March 2025 even as the share of equities and investment funds has increased marginally (Chart 1.51 c). As per the latest survey conducted by the SEBI, despite growing awareness about securities market products, overall household penetration remained at 9.5 per cent (out of the 337.2 million total households), mainly arising from urban centres. Within the securities market, however, equity remains the dominant asset class for households. Therefore, diversification of household savings to asset classes other than equity and bank deposits, has the potential to aid financialisation of savings and long-term capital formation. 1.52 The resilience of the banking system22 is paramount in preserving financial stability. The Indian banking system, led by scheduled commercial banks (SCBs), remains healthy with strong capital, liquidity and profitability positions. Alongside, declining non-performing loan ratios and steady slippage are improving overall asset quality (Chart 1.52). Robust common equity tier 1 (CET1) capital, lower loan losses and credit costs, and healthy return-on-equity reinforce banking system’s strong performance (Chart 1.53 a, b and c). 1.53 Year-on-year change in bank funding composition shows that over the past year, equity capital has seen a strong increase even as the primary source of funding, viz., deposits from households decreased (Chart 1.54 a).24 A similar change in asset composition shows an increase in net loans and advances, investments in state government securities and other assets (Chart 1.54 b).25 Consequently, the credit-to-deposit (CD) ratio has increased from 78.0 per cent in September 2024 to 78.9 per cent in September 2025. Importantly, the increase in the CD ratio is driven by the substitution of funding from deposits with an increase in equity capital. 1.54 The recent pickup in bank credit growth alongside a recovery in credit impulse26 reflects a more supportive credit environment for economic activity (Chart 1.55 a). Furthermore, the growth in bank lending to NBFCs and unsecured retail, in which risk weights were increased in November 2023, is showing signs of revival (Chart 1.55 b). Credit to large corporates, however, remains subdued. Alongside, the yield curve has steepened and the spread between state government securities and G-sec yields have risen. This is driving demand away from loans (except MSMEs), especially in respect of PVBs, as these investments are offering better returns on a risk-adjusted basis (Chart 1.55 c, d and e).27 1.55 However, there is significant diversification among sources of credit to the commercial sector with lending from non-banks and market-based financing growing steadily. Thus, credit from these sources have not only substituted bank credit, but also ensured steady flow of funds to the commercial sector (Chart 1.56). 1.56 The share of other operating income (OOI) has increased over the years in the bank’s overall earnings, with income generated out of treasury operations emerging as a key source of other operating income, especially in the last two quarters (Chart 1.57 a and b). The current steepening of the yield curve and relatively higher exchange rate volatility, if sustained, could impact treasury income. Thus, even as earnings-at-risk associated with net interest income (NII) have not changed significantly since the last FSR (see section on Interest Rate Risk in Chapter 2), the overall impact on banks’ earnings could be higher in the future. 1.57 Unsecured retail lending, a key driver of bank loan growth during the post-pandemic period, declined sharply after the RBI increased risk weights on certain consumer segment loans in November 2023. Even as asset quality in aggregate remains stable - GNPA ratio at 1.8 per cent vis-à-vis 1.1 per cent for retail advances - slippages in unsecured retail loans constituted 53.1 per cent of the total retail loan slippages of SCBs. Among bank groups, the share of PVBs in fresh slippages of unsecured loans was higher, and their write-offs continue to remain elevated (Chart 1.58 a, b, c and d). 1.58 Bank credit to the Micro, Small and Medium Enterprises (MSME) rose sharply, aided partly by a change in classification criteria28, registering a growth of 20.6 per cent (y-o-y) in September 2025 and taking the share of MSME credit to 19 per cent in total non-food bank credit.29 Importantly, advances to the super prime borrower category remained dominant, contributing almost 49 per cent of total MSME advances (Chart 1.59 a, b, c and d). Moreover, their asset quality remained sound with the aggregate gross NPA ratio showing further improvement - it fell from 5.2 per cent in September 2023 to 3.3 per cent in September 2025. The improvement is seen across sectors, even though the default rate for micro enterprises remained a tad elevated (Chart 1.60 a and b). 1.59 Analysis of sectors30 that were potentially exposed to higher US tariffs showed that the share of banks’ lending to these sectors remained steady at 12.6 per cent as at end-September 2025 - with advances to the textiles sector forming the largest share (Chart 1.61 a and b).31 In terms of asset quality, while the SMA ratio in these sectors remained broadly stable, the GNPA ratio remained higher (Chart 1.62 a and b). Overall, these sectors are showing resilience despite the unfavourable external environment. 1.60 Small Finance Banks’ (SFBs) footprint has been growing in the Indian banking system with their share in total banking sector credit and deposits gradually increasing from 1.3 per cent and 0.9 per cent in September 2022 to 1.6 per cent and 1.4 per cent in September 2025, respectively. Their credit and deposit growth were higher than the banking sector average at 17.2 per cent and 19.3 per cent (y-o-y) in September 2025, respectively. However, profitability remained under pressure even as loan losses, funding costs and slippages remain elevated (Chart 1.63 a, b, c and d). 1.61 Credit to the microfinance sector declined for the sixth consecutive quarter with a 9.3 per cent fall in H1:2025-26 (Chart 1.64) with the total active borrowers in the sector decreasing by 78 lakh. Bank credit32 to the sector, which forms 47.7 per cent of total credit outstanding to the sector, contracted by 10.6 per cent during the same period. Asset quality is showing signs of improvement with the ratio of stressed assets declining in three successive quarters (Chart 1.65 a). Borrower indebtedness, measured by the share of borrowers availing loans from three or more lenders, rose marginally in September 2025 after declining consistently over the last two years (Chart 1.65 b). Though there has been consolidation in the microfinance sector, some stress persists and requires close monitoring. 1.62 Consumer segment loans remain a key driver of loan demand for both banks and non-bank finance companies (NBFCs). After registering sharp growth post-pandemic, loans to consumer segment declined following countercyclical regulatory measures by the RBI to arrest the rapid growth in this segment. There are signs of stabilisation in the segment (Chart 1.66 and b). Enquiry volumes have picked up in the month of September 2025, reflecting a rebound in demand post-GST rate cuts, even as the slowdown in the growth of credit active consumers appears to have bottomed out (Chart 1.67 a and b). 1.63 Among different product types, gold loans saw sharp growth across SCBs and NBFCs.33 Similarly, unsecured business loans also grew quickly led by SCBs (Chart 1.68 a, b, c and d). The share of outstanding loans held by below prime borrowers in the NBFCs’ gold loan portfolio reduced but remained sizeable (Chart 1.69 a). In both banks and NBFCs, the outstanding loans held by higher quality borrowers dominated the unsecured business loans category (Chart 1.69 b). 1.64 The asset quality of the consumer segment loans remained sound across lender and product types with declining levels of non-performing loans (Chart 1.70 a and b). Slippages from SMA-2 accounts also decreased. However, upgradations which saw a jump in Q4:2024-25, are trending lower (Chart 1.70 c). Overall, the high share of better-quality borrowers – prime and above categories – augur well for consumer loan performance (Chart 1.70 d). 1.65 The resilience of the banking system remained strong, as reflected in the Banking Stability Indicator (BSI)34, an aggregate indicator of the banking system’s robustness, which remained well below the long-term average.35 Improved soundness and asset quality, along with easing market risk, have partly offset the weakening in liquidity and profitability indicators (Chart 1.71 a and b). 1.66 The growth in non-bank financial intermediaries (NBFIs)36 and their increasing interlinkages with the banking system is a key concern globally. In India too, banks asset exposures to NBFIs are rising. PSBs predominantly hold funded exposures, whereas PVBs have nearly half of their total exposure in non-funded facilities37, which may be invoked by NBFIs during periods of liquidity stress (Chart 1.72 a and b). 1.67 The NBFC sector38 remained broadly resilient, supported by strong capital buffers, robust net interest margin, healthy profitability and lowasset impairments (Chart 1.73). Credit growth steadied, supported by improved funding conditions - bank lending to NBFCs increased - and lending to retail borrowers rose. Alongside, their credit costs continued to trend downward (Chart 1.74 a, b, c and d). 1.68 NBFCs continued to diversify their funding profile, as reflected in the moderation in borrowings from banks, even as they remained the dominant source of funding (Chart 1.75 a). Easing money market rates and an increase in foreign currency borrowings have helped NBFCs steady the rise in the cost of funds. However, growing reliance on external funding has increased the NBFC sector’s susceptibility to exchange rate volatility, which could partly erode the benefits of lower funding costs in periods of stress (Chart 1.75 b and c). Notably, close to 86 per cent of the foreign currency borrowings are hedged. 1.69 Even as the GNPA ratio in NBFCs has declined, fresh accretions to NPAs are trending higher. Moreover, write-offs are also growing, indicating some build-up of stress in their loan portfolio (Chart 1.76 a and b). 1.70 Combined credit from NBFCs and NBFC-MFIs to the microfinance sector, which comprises 51.2 per cent of total credit outstanding to the sector, contracted by 8.5 per cent in H1:2025-26. In terms of asset quality, the ratio of stressed assets (31-180 dpd) has been declining for three successive quarters. The credit cost of NBFC-MFIs, however, rose sharply from 4.4 per cent in September 2023 to 15.5 per cent in September 2025, due to higher risk provisions and write-offs (Chart 1.77). 1.71 Fintech firms39 have been increasing their footprint in retail lending which now forms 8.9 per cent of total NBFC consumer segment loans, up from 7.3 per cent in September 2023. Between September 2024 and September 2025, they registered a robust growth of 36.1 per cent, largely driven by personal loans that formed more than half of their outstanding loan portfolio and are rising both in terms of value and volume (Chart 1.78 a and b). Unsecured loans40 form more than 70 per cent of their total loan book, and more than half of them were extended to borrowers under 35 years of age (Chart 1.78 c). 1.72 In terms of asset quality, the impairment41 of personal loans in the fintech firms’ portfolio has declined over the last one year even as credit has expanded rapidly (Chart 1.79 a). Compared to other NBFCs, however, the impairment in the small ticket loans (up to ₹50,000) were relatively higher (Chart 1.79 b). Furthermore, the impairment among borrowers who have availed unsecured loans from five or more lenders was also elevated (Chart 1.79 c). 1.73 In recent years, however, bank–NBFC interlinkages have evolved beyond the traditional lending-borrowing channel (Chart 1.80 a). As NBFCs increasingly sell or securitise their retail and MSME loan portfolios (Chart 1.80 b), banks are not only extending credit to NBFCs but also acquiring NBFCoriginated assets through transfer of loan and securitisation, including direct assignment, pass-through certificates, and co-lending arrangements (Chart 1.80 c and d).42 1.74 Banks are increasingly acquiring these assets to scale their retail portfolios, earn higher yields, and meet priority-sector targets. While the credit performance of acquired pools by PSBs has been weaker than their own originations, with direct assignment and co-lending pools showing higher loan losses, PVBs acquired pools that performed better (Chart 1.81 a). Moreover, banks are acquiring around 80 per cent of these assets through a limited number of NBFCs, which could create correlated risk and amplification of stress (Chart 1.81 b). 1.75 The overall risk in the NBFC sector, as reflected in the non-banking stability indicator (NBSI)43 rose in September 2025 compared to its eight-year low in September 2024. The NBSI, however, remained below the long-term average and steady vis-à-vis the March 2025 position, aided by improvement in asset quality and liquidity (Chart 1.82 a and b).
1 Swap spreads measure the gap between swap rates and government bond yields of the same maturity. A negative spread indicates that government bond yields are trading higher than corresponding swap rates. 2 The supply of G-sec and SGS, both high-quality liquid assets, has increased from ₹13.56 lakh crore in 2021-22 to ₹17.93 lakh crore in 2024-25. Alongside, the share of SGS rose from 36 per cent of total HQLAs issued in 2021-22 to 42 per cent in 2024-25. 3 Private credit generally refers to a loan that is negotiated directly between a borrower and a small group of nonbank lenders (source: Federal Reserve Bank of New York). 4 Cook, Lisa D (2025), “A Policymaker’s View of Financial Stability”, Board of Governors of the Federal Reserve System, November 20. 5 Berrospide, Jose, Cai, Fang, Lewis-Hayre, Siddhartha, and Zikes, Filip (2025), “Bank Lending to Private Credit: Size, Characteristics, and Financial Stability Implications,” FEDS Notes, May 3, https://www.federalreserve.gov/econres/notes/feds-notes/bank-lending-to-private-credit-size-characteristicsand- financial-stability-implications-20250523.html 6 Cook, Lisa D (2025), “A Policymaker’s View of Financial Stability”, Board of Governors of the Federal Reserve System, November 20. 7 Board of Governors of the Federal Reserve System (2025), “Financial Stability Report”, November. 8 Net issuance of treasury bills by the government has been negative this year. This has enabled private sector to raise more resources from the shortterm money market through CP and CD issuances. 9 J.P. Morgan announced on September 21, 2023, that it would include Indian government bonds in its Government Bond Index-Emerging Markets (GBI-EM), with the phased inclusion beginning on June 28, 2024. Subsequently, other index providers also announced inclusion. FPI inflows under General and FAR route stand at $8.2 bn for 2025 (till December 10, 2025), as against $16.7 bn in 2024. 10 Exchange market pressure index (EMP) is used to measure external pressures on the currency and is constructed as a weighted average of exchange rate movements and changes in forex reserves.
where Δet is the y-o-y percentage change in exchange rate relative to the US dollar at time t, and Δrt is the y-o-y percentage change of foreign exchange reserves at time t as a fraction of the monetary base (M3) at time t-1. σΔet and σΔrt are the historical standard deviations of the two variables respectively. For more details, see Appendix 3.1 of IMF World Economic Outlook (October 2007, page no. 129-130). Since foreign exchange reserves capture valuation gains, the change in foreign currency assets is taken to provide a more accurate estimate of currency intervention. 11 Beta measures the covariability of Indian markets’ returns with the returns of other markets. 12 The implied equity risk premium (ERP) is a forward-looking measure of the extra return investors expect from stocks over a risk-free rate, like government bonds. Instead of using historical returns, it is derived from current stock prices, estimated future cash flows (like earnings or dividends) and growth rate assumptions. The calculation for the implied ERP works backward from current market prices to determine the discount rate that justifies those prices. If investors’ risk appetite increases, they demand less premium over risk-free rate, thereby decreasing the cost of equity and increasing the present value of equity. 13 A lower implied ERP can suggest that stocks are becoming less attractive relative to bonds, or that investor confidence is high, driving stock prices up and compressing the premium. 14 Equity schemes include all growth/equity-oriented schemes, while non-equity schemes include hybrid schemes, income/debt-oriented schemes, solution-oriented schemes and other schemes. 15 Based on quarterly results of 3,118 listed non-government non-financial companies for Q2:2025-26. 16 ICR (i.e., ratio of earnings before interest and tax to interest expenses) is a measure of debt servicing capacity of a company. The minimum value for ICR is 1 for a company to be viable. 17 Half-yearly balance sheet analysis is based on abridged balance sheet of 3.449 listed non-government non-financial companies. 18 In this analysis, consumer segment loans are used as a proxy for the total household debt. Consumer segment loans refer to credit that is extended to individuals in their personal capacity, utilised for either personal or business purposes, and is recorded in the consumer repository of credit bureau(s). 19 Includes personal loans, credit cards, consumer durable loans, other personal loans, etc. 20 Includes housing loans, vehicle loans and two-wheeler loans. 21 Includes agriculture loan - individual, business loan - individual and education loans. 22 The analyses done in this section are based on domestic operations of SCBs (including SFBs), unless otherwise stated. 23 Special mention account (SMA) is defined as: 24 Household deposits formed 47.2 per cent of total liabilities as at end-September 2025, down from 47.7 per cent in September 2024. The other major sources of funding are deposits from non-financial corporates (12.6 per cent), equity capital (10.6 per cent) and deposits from government and public sector undertakings (10.0 per cent). 25 Net loans and advances form 60.9 per cent of total assets. Other major assets include central government securities (14.3 per cent), state government securities (7.3 per cent), other assets (9.3 per cent) and central bank reserves (3.7 per cent). 26 Credit impulse is the change in new credit issued as a percentage of GDP. Essentially, it captures the change in growth rate of credit between time t and (t-1) and (t-1) and (t-2), as a percentage of four-period rolling average of quarterly GDP at time (t-1). 27 Compared to investments in state government securities, banks have to incorporate costs associated with expected credit loss, capital requirements and priority sector lending when they lend to corporates. 28 In terms of Gazette Notification S.O. 1364 (E) dated March 21, 2025, an enterprise shall be classified as a micro, small or medium enterprise on the basis of the following criteria viz., (i) a micro enterprise, where the investment in plant and machinery or equipment does not exceed ₹2.5 crore and turnover does not exceed ₹10 crore; (ii)a small enterprise, where the investment in plant and machinery or equipment does not exceed ₹25 crore and turnover does not exceed ₹100 crore; and (iii) a medium enterprise, where the investment in plant and machinery or equipment does not exceed ₹125 crore and turnover does not exceed ₹500 crore. 29 Based on constant sample definition using TransUnion CIBIL data, aggregate lending to the MSME industry grew at 13.4 per cent (y-o-y) in September 2025. Micro, Small and Medium segments grew at 9.0 per cent (y-o-y), 15.8 per cent (y-o-y) and 13.5 per cent (y-o-y), respectively.Based on constant sample definition using TransUnion CIBIL data, aggregate lending to the MSME industry grew at 13.4 per cent (y-o-y) in September 2025. Micro, Small and Medium segments grew at 9.0 per cent (y-o-y), 15.8 per cent (y-o-y) and 13.5 per cent (y-o-y), respectively. 30 US tariff exposed sectors considered for analysis include Gems and Jewelry, Textiles, Rubber, Plastics and their products, Marine products, Leather and Leather products, Electronic Goods, Drugs and Pharmaceuticals. 31 Based on survey of seven banks (PSBs and PVBs) with a total share of 61 per cent of gross MSME credit. 33 Gold loans form 5.8 per cent of total advances of SCBs and NBFCs. 34 See Annex 1 for detailed methodology and variables used. 35 Lower values indicate improvement in BSI. 36 NBFIs constitute NBFCs (including MFIs and HFCs), (2) mutual funds, (3) insurance and pension funds, (4) DFIs and (5) other financial intermediation activities. 37 Non-funded facilities are essentially off-balance sheet and include Letters of Credit, Guarantees, Acceptances and endorsements, Underwriting and standby commitments, Undrawn binding commitments to extend credits over 1 year, Sale and repurchase agreements/asset sales with recourse, Contracts (Forex Forwards Contracts, Forward rate agreements) and Derivatives (Futures, Options, Swaps, CDS). 38 The analyses done in this section are based on NBFCs in upper and middle layers but excludes housing finance companies (HFCs), core investment companies (CICs) and standalone primary dealers (SPDs), but includes NBFCs presently under resolution; The analyses is based on provisional data available as of December 10, 2025. 39 Fintech firms, as classified by CRIF High Mark, are NBFCs which have digital lending as their core strategic focus. ‘Other NBFCs’ are NBFCs other than fintech firms. 40 Unsecured loans comprise of personal loans and unsecured business loans. 41 Measured as 91-180 days past due (dpd) portfolio to total balance outstanding. 42 Based on survey of fifteen public and private sector banks, which form 73 per cent of total assets in the banking sector as at end-March 2025, around 86 per cent of total transfer of loan and securitisation exposures are NBFC-originated. |
Foreword
|
The year 2025 was challenging as geopolitical conflicts, trade tensions, and persistent policy uncertainty cast a shadow over the global economy and the financial system. Amidst these developments, the world economy has proven to be more resilient than anticipated and the financial system has remained steady. The outlook for 2026 and beyond, however, is shrouded in uncertainty as the contours of policies that are reshaping the global economic landscape remain fluid and untested. The global financial system in this challenging backdrop remains vulnerable to stretched valuations of risk assets, expanding public debt and growing interconnectedness among banks and non-bank financial institutions (NBFIs). Alongside, the financial landscape is evolving rapidly, driven by profound technological advances and the continued rise of non-bank financial intermediation. While they bring immense opportunities, they are also adding new layers of risks, such as the rise of stablecoins and private credit. The Indian economy and the financial system, in contrast, remain robust and resilient supported by strong growth, benign inflation, healthy balance sheets of financial and non-financial firms, sizeable buffers and prudent policy reforms. Despite a volatile and unfavourable external environment, the Indian economy is projected to register high growth, driven by strong domestic consumption and investment. Nonetheless, we recognise the near-term challenges from external spillovers and continue to build strong guardrails to safeguard the economy and the financial system from potential shocks. This edition of the Financial Stability Report underscores the stability of the domestic financial system in terms of both institutional soundness and systemic resilience. Banks and NBFIs remain healthy, bolstered by strong capital and liquidity buffers, robust earnings and improved asset quality. Stress tests also endorse the resilience of banks and non-banking financial companies. Financial markets, however, remain susceptible to global spillovers. Maintaining financial stability and strengthening the financial system remains our north star. But financial sector regulators recognise that financial stability is not an end in itself. Promoting innovation and growth, protecting consumers, and a pragmatic approach to regulation and supervision that improves financial system efficiency are equally important. These objectives are mutually reinforcing and vital for increasing productivity and long-term economic growth. The most important contribution the policymakers can make is to foster a financial system that is robust and resilient to shocks, efficient in providing financial services and promotes responsible innovation. Sanjay Malhotra December 31, 2025 |
Overview
|
The Financial Stability Report (FSR) is a half-yearly publication, with contributions from all financial sector regulators. It presents the collective assessment of the Sub Committee of the Financial Stability and Development Council on current and emerging risks to the stability of the Indian financial system. Global Macrofinancial Risks Global growth has proven more resilient than expected despite trade tensions, geopolitical risks, and uncertainty around economic policy, supported by front-loaded trade, fiscal measures, and strong AI-related investment. Nonetheless, risks to the outlook remain skewed to the downside due to still elevated uncertainty, high public debt, and the risk of a disorderly market correction. Financial markets appear strong on the surface but show growing underlying vulnerabilities. Sharp rise in equities and other risk assets, high hedge funds’ leverage, expanding opaque private credit markets and growth of stablecoins all heighten global financial system fragilities. Ample liquidity is supporting risk-on sentiment across asset classes, but a sharp correction - especially if AI optimism fades - could spill over to the broader financial system, given rising interconnectedness. Domestic Macrofinancial Risks Despite persistent global challenges, India’s economy continues to grow strongly on the back of robust domestic demand. Benign inflation, fiscal consolidation, and prudent macroeconomic policies have enhanced economic resilience. The domestic financial system remains sound, supported by strong balance sheets, easy financial conditions, and low market volatility. The economy and the financial system, however, faces near-term risks from external uncertainties - geopolitical and trade related. These factors could increase exchange rate volatility, dampen trade, reduce corporate earnings, and lower foreign investment. A sharp correction in US equities could influence domestic equities and tighten financial conditions. However, the economy and financial system have strong buffers to withstand adverse shocks. Financial Institutions: Soundness and Resilience The health of the scheduled commercial banks (SCBs) continued to remain robust with strong capital and liquidity buffers, improving asset quality and stable profitability. Stress tests results reaffirmed the resilience of banks to withstand losses under adverse scenarios and maintain capital buffers well above the regulatory minimum. The primary (urban) cooperative banks (UCBs), with some exceptions, remain healthy with sound capital buffers and continued strength in profitability, despite softening in net interest margin. Overall, the sector was found to be resilient under stress tests. Capital position of the non-banking financial companies (NBFCs) remained strong, and their asset quality continued to improve while profitability stayed stable. Stress tests results showed, barring a few outlier NBFCs, aggregate capital position would remain well above regulatory requirements under adverse shocks. Stress tests results for mutual funds and clearing corporations affirmed their resilience to adverse shocks. The insurance sector continues to display balance sheet resilience, supported by adequate capital buffers, steady capital accretion and solvency ratios that remain above prescribed regulatory thresholds at the aggregate level. Regulatory Initiatives in the Financial Sector Amid persistent economic uncertainty and ongoing structural transformations in global finance, financial sector regulators have continued to strengthen regulatory frameworks and enhance supervisory attention, particularly with respect to G-SIBs, the interconnectedness between banks and NBFIs, and liquidity risk management. International standard-setting bodies are also advancing measures for the regulation of crypto and digital assets, with a focus on addressing emerging financial stability risks arising from the interlinkages between tokenised asset classes and crypto-asset markets, and the reserve holdings of stablecoin issuers. At the domestic level, financial sector regulators have continued to focus on strengthening the resilience of the system by enhancing transparency frameworks, improving governance and accountability standards, strengthening customer and investor protection, and improving the ease of doing business. Another key initiative has been a fundamental reorganisation of the regulatory instructions that is expected to enhance clarity, ease of access, and reduce compliance burden for regulated entities. |
List of Select Abbreviations
| 3-MMA | 3-Month Moving Average |
| AEs | Advanced Economies |
| AFS | Available for Sale |
| AI | Artificial Intelligence |
| AIFs | Alternative Investment Funds |
| AIFIs | All-India Financial Institutions |
| AMCs | Asset Management Companies |
| AMFI | Association of Mutual Funds in India |
| APY | Atal Pension Yojana |
| AUC | Assets Under Custody |
| AUM | Assets Under Management |
| BCBS | Basel Committee on Banking Supervision |
| BCs | Business Correspondents |
| BIFR | Board for Industrial and Financial Reconstruction |
| BIS | Bank for International Settlements |
| BPS | Basis Points |
| BSI | Banking Stability Indicator |
| BTs | Bankruptcy Trustees |
| CAD | Current Account Deficit |
| CASA | Current Account and Savings Account |
| CBDCs | Central Bank Digital Currencies |
| CCB | Capital Conservation Buffer |
| CCIL | Clearing Corporation of India Ltd. |
| CCPs | Central Counterparties |
| CCRI | Credit Concentration Risk Index |
| CCs | Clearing Corporations |
| CD | Credit-to-Deposit |
| CDs | Certificate of Deposits |
| CDS | Credit Default Swap |
| CDSL | Central Depository Services Limited |
| CET1 | Common Equity Tier 1 |
| CFMs | Capital Flow Management Frameworks |
| CICs | Core Investment Companies |
| CIRP | Corporate Insolvency Resolution Process |
| CLA | Co-Lending Arrangements |
| CMs | Clearing Members |
| CoC | Committee of Creditors |
| Core SGF | Core Settlement Guarantee Fund |
| CPs | Commercial Papers |
| CPI | Consumer Price Index |
| CRAR | Capital to Risk-Weighted Assets Ratio |
| CRAs | Central Recordkeeping Agencies |
| CRR | Cash Reserve Ratio |
| CSR | Corporate Social Responsibility |
| D-SIBs | Domestic Systemically Important Banks |
| DeFi | Decentralised Finance |
| DEPs | Digital Engagement Practices |
| DGA | Duration Gap Analysis |
| DICGC | Deposit Insurance and Credit Guarantee Corporation |
| DIIs | Domestic Institutional Investors |
| DIF | Deposit Insurance Fund |
| DISSA | Diploma in Information System Security Audit |
| DPD | Days Past Due |
| DSR | Debt Service Ratio |
| EAR | Earnings At Risk |
| EBPT | Earnings Before Profit and Tax |
| ECB | External Commercial Borrowings |
| EMDEs | Emerging Markets and Developing Economies |
| EMEs | Emerging Market Economies |
| EPS | Earnings per Share |
| ERP | Equity Risk Premium |
| ESG | Environmental, Social, and Governance |
| ETF | Exchange-Traded Funds |
| F&O | Futures and Options |
| FAR | Fully Accessible Route |
| FBs | Foreign Banks |
| FCI | Financial Conditions Index |
| FDI | Foreign Direct Investment |
| FEMA | Foreign Exchange Management Act, 1999 |
| FMEs | Fund Management Entities |
| FPI | Foreign Portfolio Investment |
| FREE-AI | Framework for Responsible and Ethical Enablement of Artificial Intelligence |
| FSB | Financial Stability Board |
| FSDC | Financial Stability and Development Council |
| FSDC-SC | Sub-Committee of Financial Stability and Development Council |
| FSR | Financial Stability Report |
| FSSI | Financial System Stress Indicator |
| FVTPL | Fair Value Through Profit and Loss |
| FY | Financial Year |
| G-SIB | Globally Systemically Important Banks |
| G20 | Group of Twenty |
| GAP | Global Access Provider |
| GAOs | Global Administrative Offices |
| GDP | Gross Domestic Product |
| GENIUS Act | Guiding and Establishing National Innovation for U.S Act |
| GNPAs | Gross Non-Performing Assets |
| GRCTCs | Global/ Regional Corporate Treasury Centres |
| G-Sec | Government Securities |
| GST | Goods and Services Tax |
| HFCs | Housing Finance Companies |
| HFT | Held for Trading |
| HQLA | High Quality Liquid Assets |
| HTM | Held to Maturity |
| I-SCAN | International Securities and Commodities Alerts Network |
| IAAP | International Association of Accessibility Professionals |
| IAIS | International Association of Insurance Supervisors |
| IBBI | Insolvency and Bankruptcy Board of India |
| ICMA | International Capital Market Association |
| ICMAI | Institute of Cost Accounts of India |
| ICR | Interest Coverage Ratio |
| ID | Insured Deposits |
| IFSC | International Financial Services Centre |
| IIBX | India International Bullion Exchange |
| IIF | Institute of International Finance |
| IIP | International Investment Position |
| IM | Information Memorandum |
| IMF | International Monetary Fund |
| INR | Indian Rupee |
| InvITs | Infrastructure Investment Trusts |
| IOSCO | International Organization of Securities Commission |
| IPA | Insolvency Professional Agency |
| IPO | Initial Public Offerings |
| IPs | Insolvency Professionals |
| IRD | Interest Rate Derivatives |
| IRDAI | Insurance Regulatory and Development Authority of India |
| IRPs | Interim Resolution Professionals |
| ISSB | International Sustainability Standards Board |
| KFS | Key Facts Statements |
| KYC | Know Your Customer |
| LCR | Liquidity Coverage Ratio |
| LGD | Loss Given Default |
| LR-CRaR | Liquidity Ratios - Conditional Redemption At Risk |
| LR-RaR | Liquidity Ratios - Redemption At Risk |
| LT | Long-term |
| MD | Modified Duration |
| MDG | Modified Duration Gap |
| MDs | Master Directions |
| MFDs | Mutual Fund Distributors |
| MFs | Mutual Funds |
| MiCAR | Markets in Crypto-Assets Regulation |
| MIIs | Market Infrastructure Institutions |
| MRC | Minimum Required Corpus |
| MSF | Multiple Scheme Framework |
| MSME | Micro, Small And Medium Enterprises |
| MTM | Mark-To-Market |
| MVE | Market Value of Equity |
| NABARD | National Bank for Agriculture and Rural Development |
| NAV | Net Asset Value |
| NaBFID | National Bank for Financing Infrastructure and Development |
| NBFCs | Non-Banking Financial Companies |
| NBFC-ML | Middle layer NBFCs |
| NBFC-UL | Upper layer NBFCs |
| NBFI | Non-bank Financial Intermediaries |
| NBSI | Non-banking stability indicator |
| NDCF | Net Distributable Cash Flows |
| NDTL | Net Demand and Time Liabilities |
| NFB | Non-Fund Based |
| NGFS | Network for Greening the Financial System |
| NGNF | Non-Government Non-Financial Vompanies |
| NGS | Non-Government Sector |
| NHB | National Housing Bank |
| NIC | National Industrial Classification |
| NII | Net Interest Income |
| NIM | Net Interest Margin |
| NNPA | Net Non-performing Assets |
| NOI | Net Operating Income |
| NPL | Non-Performing Loans |
| NPS | National Pension System |
| NSDL | National Securities Depository Limited |
| NSE IX | NSE International Exchange |
| NSFI | National Strategy for Financial Inclusion |
| NSFR | Net Stable Funding Ratio |
| NSUCBs | Non-Scheduled UCBs |
| OECD | Organisation for Economic Cooperation and Development |
| OEFs | Open-Ended Funds |
| OFS | Offer for Sale |
| OIS | Overnight Indexed Swap |
| OOI | Other Operating Income |
| ORBIOs | Offices of the Reserve Bank of India Ombudsman |
| P/E | Price-to-Earnings |
| PaRRVA | Past Risk and Return Verification Agency |
| PAs | Payment Aggregators |
| PAT | Profit After Tax |
| PCE | Partial Credit Enhancement |
| PCR | Provisioning Coverage Ratio |
| PDs | Primary Dealers |
| PFRDA | Pension Fund Regulatory and Development Authority |
| PML | Prevention of Money Laundering |
| PRAN | Permanent Retirement Account Number |
| PSBs | Public Sector Banks |
| PSL | Priority Sector Lending |
| PSOs | Payment System Operators |
| PSP | Payment Service Provider |
| PVBs | Private Sector Banks |
| PwDs | Persons with Disabilities |
| QIS | Quantitative Impact Study |
| RBC | Risk Based Capital |
| RBI | Reserve Bank of India |
| RB-IOS, 2021 | Reserve Bank - Integrated Ombudsman Scheme, 2021 |
| REITs | Real Estate Investment Trusts |
| REER | Real Effective Exchange Rate |
| REPO | Repurchase Transactions |
| REs | Regulated Entities |
| RFQ | Request for Quote |
| RoA | Return on Assets |
| RoE | Return on Equity |
| RP | Resolution Professional |
| RRBs | Regional Rural Banks |
| RSA | Rate-Sensitive Assets |
| RSL | Rate-Sensitive Liabilities |
| RWA | Risk Weighted Assets |
| SCBs | Scheduled Commercial Banks |
| SD | Standard Deviation |
| SDI | Securitised Debt Instrument |
| SDLs | State Development Loans |
| SEBI | Securities and Exchange Board of India |
| SFBs | Small Finance Banks |
| SGF | Settlement Guarantee Fund |
| SGS | State Government Securities |
| SIPs | Systematic Investment Plans |
| SIS | Systemic Importance Scores |
| SLR | Statutory Liquidity Ratio |
| SMA | Special Mention Account |
| SM REIT | Small and Medium Real Estate Investment Trust |
| SPDs | Standalone Primary Dealers |
| SRA’s | Successful Resolution Applicant’s |
| SRO | Self-Regulatory Organization |
| SRPA | Self-Regulated Payment System Operator Association |
| SRVAs | Special Rupee Vostro Accounts |
| SSA | Securitization of Standard Assets |
| SSE | Social Stock Exchange |
| ST | Short Term |
| SUCBs | Scheduled UCBs |
| TGA | Traditional Gap Analysis |
| UCBs | Urban Cooperative Banks |
| UNFCCC | UN Framework Convention on Climate Change |
| UPS | Unified Pension Scheme |
| US | United States |
| USD | US Dollar |
| VARX | Vector Auto Regression with Exogenous Variables |
| VIX | Volatility Index |
Financial Stability Report, December 2025
| Foreword | 46.35 KB |
|
| Contents | 64.61 KB |
|
| List of Select Abbreviations | 50.06 KB |
|
| Overview | 34.83 KB |
|
| Chapter I: Macrofinancial Risks | 4.68 MB |
|
| Chapter II: Financial Institutions: Soundness and Resilience | 3.8 MB |
|
| Chapter III: Regulatory Initiatives in the Financial Sector | 292.58 KB |
|
| ANNEX | ||
| Methodologies | 521.4 KB |
|
| Important Domestic Regulatory Measures | 112.05 KB |
|
صفحے پر آخری اپ ڈیٹ:
